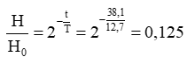
Một đồng vị phóng xạ có chu kì bán rã là 12,7 giờ. Sau 38,1 giờ, độ phóng xạ của đồng vị này giảm bao nhiêu phần trăm so với lúc ban đầu?
Câu hỏi trong đề: Đề thi tham khảo ôn thi THPT Vật lý có đáp án - Đề 3 !!
Quảng cáo
Trả lời:
Đáp án đúng là C
. Do đó độ phóng xạ giảm 87,5%.
Hot: 1000+ Đề thi cuối kì 1 file word cấu trúc mới 2025 Toán, Văn, Anh... lớp 1-12 (chỉ từ 60k). Tải ngay
- 20 đề thi tốt nghiệp môn Vật lí (có đáp án chi tiết) ( 38.000₫ )
- 500 Bài tập tổng ôn Vật lí (Form 2025) ( 38.000₫ )
- Sổ tay lớp 12 các môn Toán, Lí, Hóa, Văn, Sử, Địa, KTPL (chương trình mới) ( 36.000₫ )
- Tuyển tập 30 đề thi đánh giá năng lực Đại học Quốc gia Hà Nội, TP Hồ Chí Minh (2 cuốn) ( 150.000₫ )
CÂU HỎI HOT CÙNG CHỦ ĐỀ
Câu 1
Lời giải
Đáp án đúng là B
Khi khung dây chuyển động theo hướng 2, mật độ đường sức tăng, từ thông tăng. Vectơ càm ứng từ của dòng điện cảm ứng \[\overrightarrow {{B_c}} \] ngược chiều với \[\overrightarrow B \]. Theo quy tắc nắm tay phải, dòng điện cảm ứng ngược chiều kim đồng hồ.
Câu 2
Lời giải
Đáp án đúng là D
Năng lượng điện của nguồn điện cung cấp cho máy nén để tải nhiệt từ nơi có nhiệt độ thấp đến nơi có nhiệt độ cao hơn.
Câu 3
c) Suất điện động cảm ứng xuất hiện trong khung dây theo biểu thức \[\xi \] = 0,8 + 0,1t .
Lời giải
Bạn cần đăng ký gói VIP ( giá chỉ từ 199K ) để làm bài, xem đáp án và lời giải chi tiết không giới hạn.
Lời giải
Bạn cần đăng ký gói VIP ( giá chỉ từ 199K ) để làm bài, xem đáp án và lời giải chi tiết không giới hạn.
Lời giải
Bạn cần đăng ký gói VIP ( giá chỉ từ 199K ) để làm bài, xem đáp án và lời giải chi tiết không giới hạn.
Câu 6
Lời giải
Bạn cần đăng ký gói VIP ( giá chỉ từ 199K ) để làm bài, xem đáp án và lời giải chi tiết không giới hạn.
Lời giải
Bạn cần đăng ký gói VIP ( giá chỉ từ 199K ) để làm bài, xem đáp án và lời giải chi tiết không giới hạn.




