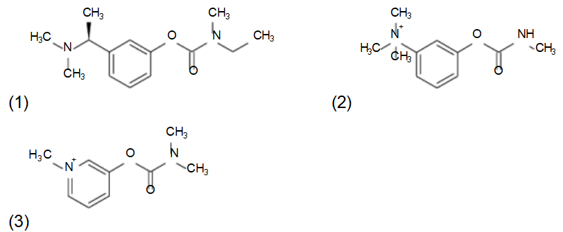
Cho các công thức sau, chất nào có thể sử dụng để điều trị Alzheimer?

(2) và (3).
(3).
(1).
(1) và (3).
Câu hỏi trong đề: 1150+ câu trắc nghiệm Hoá dược 1 có đáp án !!
Quảng cáo
Trả lời:
Chọn đáp án D
Hot: 1000+ Đề thi giữa kì 2 file word cấu trúc mới 2026 Toán, Văn, Anh... lớp 1-12 (chỉ từ 60k). Tải ngay
CÂU HỎI HOT CÙNG CHỦ ĐỀ
Câu 1
phản ứng tạo phức với CuSO4
phản ứng Pesez
thử pH
phản ứng phát huỳnh quang
Lời giải
Chọn đáp án B
Câu 2
Đồng phân hóa tạo isopilocarpin vẫn còn tác động.
Dễ bị thủy phân tạo acid pilocarpic mất tác động.
Không bền, nhỏ mắt trị glaucom phải dùng nhiều lần trong ngày.
Định lượng bằng phương pháp môi trường khan.
Lời giải
Chọn đáp án A
Câu 3
cường giao cảm
cường đối giao cảm
liệt giao cảm
liệt đối giao cảm
Lời giải
Bạn cần đăng ký gói VIP ( giá chỉ từ 199K ) để làm bài, xem đáp án và lời giải chi tiết không giới hạn.
Câu 4
Cả ba chất đều tác động chọn lọc trên thụ thể Muscarin.
Chỉ (2) và (3) cho tác động chọn lọc trên thụ thể Muscarin.
Chỉ (1) và (2) cho tác động chọn lọc trên thụ thể Muscarin.
Chỉ có (3) tác động chọn lọc trên thụ thể Muscarin.
Lời giải
Bạn cần đăng ký gói VIP ( giá chỉ từ 199K ) để làm bài, xem đáp án và lời giải chi tiết không giới hạn.
Câu 5
Có tác dụng kiềm khuẩn ngoại trừ minoxiclin diệt khuẩn
Kết dính với tiểu thể 30s của ribosom gây ức chế sinh tổng hợp protein
Phổ kháng khuẩn hẹp chủ yếu trên gram dương và mầm nội bào
A & B đúng
B & C đúng
Lời giải
Bạn cần đăng ký gói VIP ( giá chỉ từ 199K ) để làm bài, xem đáp án và lời giải chi tiết không giới hạn.
Câu 6
X phải là nối ester mới có tác động.
R3 là -OH hoặc -CH2OH cho tác động tốt hơn.
R1 và R2 là vòng thơm hoặc vòng no.
Các chất dùng để điều trị Parkinson có N bậc Câu .
Lời giải
Bạn cần đăng ký gói VIP ( giá chỉ từ 199K ) để làm bài, xem đáp án và lời giải chi tiết không giới hạn.
Câu 7
–SO2NH2 (sulfonilic)
–OH (hydroxyl)
–NH2 (amin)
COO- (or COOH) (carboxylic)
COOR ( ester)
Lời giải
Bạn cần đăng ký gói VIP ( giá chỉ từ 199K ) để làm bài, xem đáp án và lời giải chi tiết không giới hạn.


