Tổng số tiệm cận (đứng, ngang, xiên) của đồ thị hàm số \(y = \frac{{{x^2} + {\rm{ln}}\left( {{x^2} - 2x} \right)}}{x}\) là:
Quảng cáo
Trả lời:
Đáp án đúng là C
Phương pháp giải
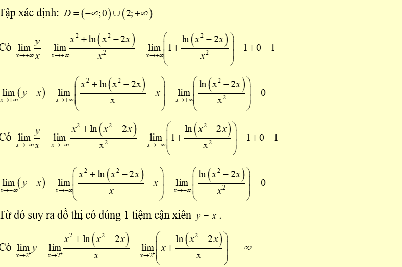
Xét giới hạn hàm số đã cho tại các cận.
Lời giải


Từ đó suy ra đồ thị có hai tiệm cận đứng \(x = 0\) và \(x = 2\).
Đồ thị hàm số đã cho không có tiệm cận ngang.
Như vậy, tổng cộng có tất cả 3 tiệm cận.
Hot: 1000+ Đề thi giữa kì 2 file word cấu trúc mới 2026 Toán, Văn, Anh... lớp 1-12 (chỉ từ 60k). Tải ngay
- Tuyển tập 30 đề thi đánh giá năng lực Đại học Quốc gia TP Hồ Chí Minh (2 cuốn) ( 140.000₫ )
- Tuyển tập 30 đề thi đánh giá năng lực Đại học Quốc gia Hà Nội 2025 (Tập 1) ( 39.000₫ )
- Tuyển tập 15 đề thi Đánh giá tư duy Đại học Bách Khoa Hà Nội 2025 (Tập 1) ( 39.000₫ )
- Tuyển tập 30 đề thi đánh giá năng lực Đại học Quốc gia Hà Nội, TP Hồ Chí Minh (2 cuốn) ( 150.000₫ )
CÂU HỎI HOT CÙNG CHỦ ĐỀ
Câu 1
Lời giải
Đáp án đúng là D
Phương pháp giải
Sử dụng lí thuyết về đàn ghi ta điện
Lời giải
Đàn guitar điện không có hộp cộng hưởng như đàn guitar thùng. Thay vào đó, âm thanh của đàn guitar điện được tạo ra thông qua các cuộn dây cảm ứng (pickup) gắn trên thân đàn. Các cuộn dây này cảm nhận rung động của dây đàn và chuyển chúng thành tín hiệu điện. Sau đó, tín hiệu này được gửi đến máy tăng âm (amplifier) để khuếch đại thành âm thanh mà ta nghe được.
Câu 2
Lời giải
Đáp án đúng là B
Phương pháp giải
Vận dụng các công thức xác suất (công thức cộng, công thức nhân, công thức xác suất toàn phần, công thức Bayes...)
Lời giải
Gọi \(A\) là biến cố "Bị mắc bệnh M", \(B\) là biến cố "Bộ test cho kết quả dương tính".
Do xác suất bị mắc bệnh M là \(22{\rm{\% }}\) nên \(P\left( A \right) = 0,22\).
Từ dữ kiện "Nếu một người không bị bệnh thì xác suất bộ test cho ra kết quả dương tính là \(10{\rm{\% }}\)" suy ra \(P\left( {B\mid \overline A } \right) = 0,1\).
Từ dữ kiện "Nếu bộ test cho ra kết quả dương tính thì xác suất bị bệnh là \(70{\rm{\% }}\)"suy ra \(P\left( {A\mid B} \right) = 0,7\).
Từ ba dữ kiện trên, ta có hệ phương trình:
\(\left\{ {\begin{array}{*{20}{l}}{P\left( A \right) = 0,22}\\{P\left( {B\mid \overline A } \right) = 0,1}\\{P\left( {A\mid B} \right) = 0,7}\end{array} \Leftrightarrow \left\{ {\begin{array}{*{20}{l}}{P\left( A \right) = 0,22}\\{\frac{{P\left( {\overline A B} \right)}}{{P\left( {\overline A } \right)}} = 0,1}\\{\frac{{P\left( {AB} \right)}}{{P\left( B \right)}} = 0,7}\end{array}} \right.} \right.\)
\( \Leftrightarrow \left\{ {\begin{array}{*{20}{l}}{P\left( A \right) = 0,22}\\{P\left( {\overline A B} \right) = 0,1.P\left( {\overline A } \right) = 0,1.0,78 = 0,078}\\{\frac{{P\left( B \right) - P\left( {\overline A B} \right)}}{{P\left( B \right)}} = 0,7}\end{array}} \right.\)
\( \Leftrightarrow \left\{ {\begin{array}{*{20}{l}}{P\left( A \right) = 0,22}\\{P\left( {\overline A B} \right) = 0,078}\\{1 - \frac{{0,078}}{{P\left( B \right)}} = 0,7}\end{array} \Leftrightarrow \left\{ {\begin{array}{*{20}{l}}{P\left( A \right) = 0,22}\\{P\left( {\overline A B} \right) = 0,078}\\{P\left( B \right) = 0,26}\end{array}} \right.} \right.\)
Xác suất cần tính chính là
\(P\left( {B\mid A} \right) = \frac{{P\left( {AB} \right)}}{{P\left( A \right)}} = \frac{{P\left( B \right) - P\left( {\overline A B} \right)}}{{P\left( A \right)}} = \frac{{0,26 - 0,078}}{{0,22}} = 0,8273 = 82,73{\rm{\% }}\)
Lời giải
Bạn cần đăng ký gói VIP ( giá chỉ từ 199K ) để làm bài, xem đáp án và lời giải chi tiết không giới hạn.
Câu 4
Lời giải
Bạn cần đăng ký gói VIP ( giá chỉ từ 199K ) để làm bài, xem đáp án và lời giải chi tiết không giới hạn.
Câu 5
Lời giải
Bạn cần đăng ký gói VIP ( giá chỉ từ 199K ) để làm bài, xem đáp án và lời giải chi tiết không giới hạn.
Câu 6
Lời giải
Bạn cần đăng ký gói VIP ( giá chỉ từ 199K ) để làm bài, xem đáp án và lời giải chi tiết không giới hạn.
Câu 7
Lời giải
Bạn cần đăng ký gói VIP ( giá chỉ từ 199K ) để làm bài, xem đáp án và lời giải chi tiết không giới hạn.


