Cho hàm số \(f\left( x \right) = - {x^3} + 3{x^2} + 1\). Gọi \(M,m\) lần lượt là giá trị lớn nhất và giá trị nhỏ nhất của hàm số đã cho trên đoạn \(\left[ {1;3} \right]\). Giá trị của biểu thức \(T = {M^2} - {m^2}\) là
Quảng cáo
Trả lời:
Đáp án đúng là D
Phương pháp giải
Áp dụng quy tắc tìm giá trị lớn nhất, giá trị nhỏ nhất của hàm số liên tục trên một đoạn:
Cho hàm số \(y = f\left( x \right)\) liên tục trên \(\left[ {a;b} \right]\). Để tìm giá trị lớn nhất, giá trị nhỏ nhất của hàm số \(y = f\left( x \right)\) trên \(\left[ {a;b} \right]\), ta thực hiện theo các bước sau:
Bước 1: Tính đạo hàm \(f'\left( x \right)\). Tìm các điểm \({x_1},{x_2}, \ldots ,{x_n}\) trên khoảng \(\left( {a;b} \right)\) mà tại đó \(f'\left( x \right)\) bằng 0 hoặc không xác định.
Bước 2: Tính \(f\left( a \right),f\left( {{x_1}} \right),f\left( {{x_2}} \right), \ldots ,f\left( {{x_n}} \right),f\left( b \right)\).
Bước 3: Tìm số lớn nhất \(M\) và số nhỏ nhất \(m\) trong các số vừa tính ở bước 2. Ta có: 
Lời giải
Xét hàm số \(f\left( x \right) = - {x^3} + 3{x^2} + 1\) trên đoạn \(\left[ {1;3} \right]\).
\(f'\left( x \right) = - 3{x^2} + 6x\).
\(f'\left( x \right) = 0 \Leftrightarrow - 3{x^2} + 6x = 0 \Leftrightarrow x = {0_{\left( l \right)}} \vee x = {2_{\left( n \right)}}\).
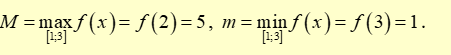
Ta có \(f\left( 1 \right) = 3;f\left( 2 \right) = 5;f\left( 3 \right) = 1\). Do đó 
Vậy \(T = {M^2} - {m^2} = {5^2} - {1^2} = 24\).
Hot: 1000+ Đề thi cuối kì 1 file word cấu trúc mới 2025 Toán, Văn, Anh... lớp 1-12 (chỉ từ 60k). Tải ngay
- Tuyển tập 15 đề thi Đánh giá tư duy Đại học Bách Khoa Hà Nội 2025 (Tập 1) ( 39.000₫ )
- Tuyển tập 30 đề thi đánh giá năng lực Đại học Quốc gia Hà Nội 2025 (Tập 1) ( 39.000₫ )
- Tuyển tập 30 đề thi đánh giá năng lực Đại học Quốc gia TP Hồ Chí Minh (2 cuốn) ( 140.000₫ )
- Tuyển tập 30 đề thi đánh giá năng lực Đại học Quốc gia Hà Nội, TP Hồ Chí Minh (2 cuốn) ( 150.000₫ )
CÂU HỎI HOT CÙNG CHỦ ĐỀ
Câu 1
Lời giải
Đáp án đúng là B
Phương pháp giải
Áp dụng công thức: \(T = A.{(1 + r)^n}\).
Lời giải
Số kì hạn (tháng) trả lãi của anh Thành sau 3 năm là: \(3.12 = 36\) (tháng)
Số tiền cả gốc lẫn lãi anh Thành phải trả cho ngân hàng sau đúng 3 năm kể từ ngày vay là:
\(400.{(1 + 1{\rm{\% }})^{36}} \approx 572,3\) (triệu đồng)
Vậy trong các số đề cho, số tiền anh Thành phải trả gần nhất với 573 triệu đồng.
Lời giải
Đáp án đúng là D
Phương pháp giải
Sự tương giao giữa hai đồ thị.
Lời giải
\({\left( {2{x^2} + 4x + 2} \right)^{\frac{3}{4}}}.f\left( {{x^2} + 2x + 1} \right) = 1 \Leftrightarrow f\left( {{x^2} + 2x + 1} \right) = {\left[ {2\left( {{x^2} + 2x + 1} \right)} \right]^{ - \frac{3}{4}}}\) (*)
Đặt \(t = {x^2} + 2x + 1\). Ta có \(t = {(x + 1)^2} \ge 0\). Khi đó (*) trở thành \(f\left( t \right) = {(2t)^{ - \frac{3}{4}}}\).
Xét hàm số \(g\left( t \right) = {(2t)^{ - \frac{3}{4}}}\) trên \(\left[ {0; + \infty } \right)\).
TXĐ: \(D = \left( {0; + \infty } \right)\).
\(g'\left( t \right) = - \frac{3}{2}{(2t)^{ - \frac{7}{4}}} < 0\forall x \in \left( {0; + \infty } \right)\).
Do đó hàm số \(g\left( t \right) = {(2t)^{ - \frac{3}{4}}}\) nghịch biến trên \(\left( {0; + \infty } \right)\).
BBT

Dựa vào bảng biến thiên, ta có sự tương giao của hai đồ thị hàm số \(y = f\left( t \right)\) và \(y = g\left( t \right)\) như sau:

Do đó, phương trình \(f\left( t \right) = {(2t)^{ - \frac{3}{4}}}\) có hai nghiệm \(t\) dương phân biệt là \({t_1}\) và \({t_2}\).
Suy ra \({x^2} + 2x + 1 = {t_1}\,\,(1) \vee {x^2} + 2x + 1 = {t_2}\,\,(2)\).
Phương trình (1) có \({\rm{\Delta '}} = 1 - 1 + {t_1} = {t_1} > 0\) nên có hai nghiệm phân biệt \({x_1},{x_2}\).
Phương trình (2) có \({\rm{\Delta '}} = 1 - 1 + {t_2} = {t_2} > 0\) nên có hai nghiệm phân biệt \({x_3},{x_4}\) khác \({x_1},{x_2}\).
Vậy phương trình \({\left( {2{x^2} + 4x + 2} \right)^{\frac{3}{4}}}.f\left( {{x^2} + 2x + 1} \right) = 1\) có số nghiệm là 4.
Câu 3
Lời giải
Bạn cần đăng ký gói VIP ( giá chỉ từ 199K ) để làm bài, xem đáp án và lời giải chi tiết không giới hạn.
Lời giải
Bạn cần đăng ký gói VIP ( giá chỉ từ 199K ) để làm bài, xem đáp án và lời giải chi tiết không giới hạn.
Câu 5
Lời giải
Bạn cần đăng ký gói VIP ( giá chỉ từ 199K ) để làm bài, xem đáp án và lời giải chi tiết không giới hạn.
Lời giải
Bạn cần đăng ký gói VIP ( giá chỉ từ 199K ) để làm bài, xem đáp án và lời giải chi tiết không giới hạn.
Lời giải
Bạn cần đăng ký gói VIP ( giá chỉ từ 199K ) để làm bài, xem đáp án và lời giải chi tiết không giới hạn.

