Cho các hàm số và g(x) = mx + n có đồ thị lần lượt là đường cong (C) và đường thẳng d như hình vẽ.
Cho biết AB = 5 và diện tích hình phẳng giới hạn bởi đồ thị (C) và đường thẳng g bằng , trong đó p, q là các số nguyên dương và phân số tối giản. Tính giá trị biểu thức T = p+q (nhập đáp án vào ô trống).
Đáp án: ___
Quảng cáo
Trả lời:
Đáp án đúng là "35"
Phương pháp giải
Chọn bộ ba vectơ \(\overrightarrow {AB} ,\overrightarrow {AD} ,\overrightarrow {SA} \) làm các vectơ đơn vị rồi biểu diễn vectơ \(\overrightarrow {SC} \) theo bộ ba vectơ đã chọn.
Lời giải
Ta có \(A\left( {0;c} \right) \in \left( C \right),B\left( {0;n} \right) \in d\) và \(AB = 5\) nên \(c - n = 5\).
Phương trình hoành độ giao điểm của \(\left( C \right)\) và \(d\) là:
\(a{x^2} + bx + c = mx + n \Leftrightarrow a{x^2} + \left( {b - m} \right)x + c - n = 0 \Leftrightarrow a{x^2} + \left( {b - m} \right)x + 5 = 0\) (*)
Hoành độ giao điểm của \(\left( {\rm{C}} \right)\) và \({\rm{d}}\) là \(x = 1\) và \(x = 5\) nên (*) có dạng:
\(a\left( {x - 1} \right)\left( {x - 5} \right) = 0 \Leftrightarrow a{x^2} - 6ax + 5a = 0\)
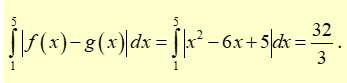
Do đó, \(a = 1\). Suy ra \(f\left( x \right) - g\left( x \right) = a{x^2} + \left( {b - m} \right)x + 5 = a{x^2} - 6ax + 5a = {x^2} - 6x + 5\).
Diện tích hình phẳng giới hạn bởi \(\left( C \right)\) và \(d\) là

Vậy \(T = p + q = 32 + 3 = 35\).
Hot: 1000+ Đề thi cuối kì 1 file word cấu trúc mới 2025 Toán, Văn, Anh... lớp 1-12 (chỉ từ 60k). Tải ngay
- Tuyển tập 15 đề thi Đánh giá tư duy Đại học Bách Khoa Hà Nội 2025 (Tập 1) ( 39.000₫ )
- Tuyển tập 30 đề thi đánh giá năng lực Đại học Quốc gia Hà Nội 2025 (Tập 1) ( 39.000₫ )
- Tuyển tập 30 đề thi đánh giá năng lực Đại học Quốc gia TP Hồ Chí Minh (2 cuốn) ( 140.000₫ )
- Tuyển tập 30 đề thi đánh giá năng lực Đại học Quốc gia Hà Nội, TP Hồ Chí Minh (2 cuốn) ( 150.000₫ )
CÂU HỎI HOT CÙNG CHỦ ĐỀ
Câu 1
Lời giải
Đáp án đúng là B
Phương pháp giải
Áp dụng công thức: \(T = A.{(1 + r)^n}\).
Lời giải
Số kì hạn (tháng) trả lãi của anh Thành sau 3 năm là: \(3.12 = 36\) (tháng)
Số tiền cả gốc lẫn lãi anh Thành phải trả cho ngân hàng sau đúng 3 năm kể từ ngày vay là:
\(400.{(1 + 1{\rm{\% }})^{36}} \approx 572,3\) (triệu đồng)
Vậy trong các số đề cho, số tiền anh Thành phải trả gần nhất với 573 triệu đồng.
Lời giải
Đáp án đúng là D
Phương pháp giải
Sự tương giao giữa hai đồ thị.
Lời giải
\({\left( {2{x^2} + 4x + 2} \right)^{\frac{3}{4}}}.f\left( {{x^2} + 2x + 1} \right) = 1 \Leftrightarrow f\left( {{x^2} + 2x + 1} \right) = {\left[ {2\left( {{x^2} + 2x + 1} \right)} \right]^{ - \frac{3}{4}}}\) (*)
Đặt \(t = {x^2} + 2x + 1\). Ta có \(t = {(x + 1)^2} \ge 0\). Khi đó (*) trở thành \(f\left( t \right) = {(2t)^{ - \frac{3}{4}}}\).
Xét hàm số \(g\left( t \right) = {(2t)^{ - \frac{3}{4}}}\) trên \(\left[ {0; + \infty } \right)\).
TXĐ: \(D = \left( {0; + \infty } \right)\).
\(g'\left( t \right) = - \frac{3}{2}{(2t)^{ - \frac{7}{4}}} < 0\forall x \in \left( {0; + \infty } \right)\).
Do đó hàm số \(g\left( t \right) = {(2t)^{ - \frac{3}{4}}}\) nghịch biến trên \(\left( {0; + \infty } \right)\).
BBT

Dựa vào bảng biến thiên, ta có sự tương giao của hai đồ thị hàm số \(y = f\left( t \right)\) và \(y = g\left( t \right)\) như sau:

Do đó, phương trình \(f\left( t \right) = {(2t)^{ - \frac{3}{4}}}\) có hai nghiệm \(t\) dương phân biệt là \({t_1}\) và \({t_2}\).
Suy ra \({x^2} + 2x + 1 = {t_1}\,\,(1) \vee {x^2} + 2x + 1 = {t_2}\,\,(2)\).
Phương trình (1) có \({\rm{\Delta '}} = 1 - 1 + {t_1} = {t_1} > 0\) nên có hai nghiệm phân biệt \({x_1},{x_2}\).
Phương trình (2) có \({\rm{\Delta '}} = 1 - 1 + {t_2} = {t_2} > 0\) nên có hai nghiệm phân biệt \({x_3},{x_4}\) khác \({x_1},{x_2}\).
Vậy phương trình \({\left( {2{x^2} + 4x + 2} \right)^{\frac{3}{4}}}.f\left( {{x^2} + 2x + 1} \right) = 1\) có số nghiệm là 4.
Câu 3
Lời giải
Bạn cần đăng ký gói VIP ( giá chỉ từ 199K ) để làm bài, xem đáp án và lời giải chi tiết không giới hạn.
Lời giải
Bạn cần đăng ký gói VIP ( giá chỉ từ 199K ) để làm bài, xem đáp án và lời giải chi tiết không giới hạn.
Câu 5
Lời giải
Bạn cần đăng ký gói VIP ( giá chỉ từ 199K ) để làm bài, xem đáp án và lời giải chi tiết không giới hạn.
Câu 6
Lời giải
Bạn cần đăng ký gói VIP ( giá chỉ từ 199K ) để làm bài, xem đáp án và lời giải chi tiết không giới hạn.
Lời giải
Bạn cần đăng ký gói VIP ( giá chỉ từ 199K ) để làm bài, xem đáp án và lời giải chi tiết không giới hạn.

