Quảng cáo
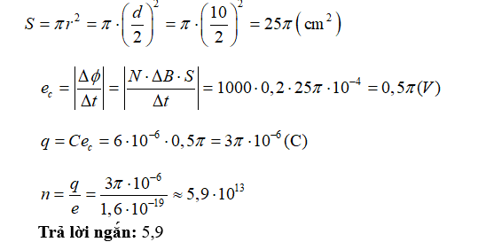
Trả lời:

Hot: 1000+ Đề thi giữa kì 2 file word cấu trúc mới 2026 Toán, Văn, Anh... lớp 1-12 (chỉ từ 60k). Tải ngay
- 1000 câu hỏi lí thuyết môn Vật lí (Form 2025) ( 45.000₫ )
- 500 Bài tập tổng ôn Vật lí (Form 2025) ( 38.000₫ )
- Bộ đề thi tốt nghiệp 2025 các môn Toán, Lí, Hóa, Văn, Anh, Sinh, Sử, Địa, KTPL (có đáp án chi tiết) ( 36.000₫ )
- Tổng ôn lớp 12 môn Toán, Lí, Hóa, Văn, Anh, Sinh Sử, Địa, KTPL (Form 2025) ( 36.000₫ )
CÂU HỎI HOT CÙNG CHỦ ĐỀ
Lời giải
Nhiệt lượng hơi nước tỏa ra:
\({Q_{hn}} = L{m_{hn}} + {m_{ln}}{c_n}\Delta {t_{hn}} = 2,26 \cdot {10^3} \cdot {m_{hn}} + {m_{hn}} \cdot 4,19 \cdot (100 - 25) = 2574,25{m_{ln}}\)
Nhiệt lượng nhiệt lượng kế thu vào:
\({Q_{nl}} = {m_{nl}} \cdot {c_{nl}}\Delta {t_{nl}} = 300 \cdot 0,88.(25 + 5) = 7920(\;{\rm{J}})\)
Nhiệt lượng nước đá thu vào:
\({Q_{nd}} = {m_{nd}}{c_{nd}}\left( {0 - {t_1}} \right) + \lambda {m_{nd}} + {m_{nd}}{c_n}{t_3} = {m_{nd}} \cdot 2,09.5 + 334.{m_{nd}} + {m_{nd}} \cdot 4,19.25 = 449,2{m_{nd}}\)
Phương trình cân bằng nhiệt: \({Q_{hn}} = {Q_{nt}} + {Q_{nd}} \Rightarrow 2574,25{m_{hn}} = 7920 + 449,2{m_{nd}}\)
Kết hợp \({m_{hn}} + {m_{nd}} = 500 \Rightarrow \left\{ {\begin{array}{*{20}{l}}{{m_{hn}} \approx 76,9\;{\rm{g}}}\\{{m_{nd}} \approx 423,1\;{\rm{g}}}\end{array} \Rightarrow {m_{nd}} - 2{m_{hn}} = 269,3\;{\rm{g}}} \right.\). Chọn A
Câu 2
Lời giải
Câu 3
Lời giải
Bạn cần đăng ký gói VIP ( giá chỉ từ 199K ) để làm bài, xem đáp án và lời giải chi tiết không giới hạn.
Câu 4
A. 3 .
B. 0,75 .
C. 2,5 .
Lời giải
Bạn cần đăng ký gói VIP ( giá chỉ từ 199K ) để làm bài, xem đáp án và lời giải chi tiết không giới hạn.
Câu 5
Lời giải
Bạn cần đăng ký gói VIP ( giá chỉ từ 199K ) để làm bài, xem đáp án và lời giải chi tiết không giới hạn.
Câu 6
Lời giải
Bạn cần đăng ký gói VIP ( giá chỉ từ 199K ) để làm bài, xem đáp án và lời giải chi tiết không giới hạn.
Câu 7
Lời giải
Bạn cần đăng ký gói VIP ( giá chỉ từ 199K ) để làm bài, xem đáp án và lời giải chi tiết không giới hạn.




