Trong không gian với hệ tọa độ $Oxyz$ ( đơn vị trên mỗi trục là $10km$), hai khinh khí cầu $A$ và $B$ bay với vectơ vận tốc lần lượt là $\overrightarrow{{{v}_{a}}}=\left( 1;2;0 \right)$ và $\overrightarrow{{{v}_{b}}}=\left( -2;3;0 \right)$ ( đơn vị là km/giờ). Tại thời điểm $t=0$, vị trí của khinh khí cầu A là $M\left( 5;4;2 \right)$ và vị trí của khinh khí cầu B là $N\left( 6;5;3 \right)$. Hai khinh khí cầu sẽ bay trong $10$ giờ tiếp theo và dừng lại.
Quảng cáo
Trả lời:
Chọn a) Đúng | b) Sai | c) Sai | d) Đúng.
a) Sau $3$ giờ vị trí của khinh khí cầu A là ${M}'\left( a;b;c \right)$. Ta có 
Vậy a) đúng.
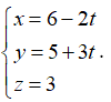
b) Ta có khinh khí cầu B bay theo đường thẳng đi qua $N\left( 6;5;3 \right)$ và có vectơ vận tốc là $\overrightarrow{{{v}_{b}}}=\left( -2;3;0 \right)$. Phương trình tham số đường thẳng đó là 
Dễ thấy điểm ${N}'\left( 0;14;3 \right)\in \Delta $. Do đó khinh khí cầu $B$ bay qua vị trí ${N}'\left( 0;14;3 \right)$.
Vậy b) sai.
c) Sau 3 giờ vị trí của khinh khí cầu A là ${M}'\left( 8;10;2 \right)$và vị trí của khinh khí cầu B là ${N}'\left( 0;14;3 \right)$ Ta có $M'{N}'=\sqrt{{{\left( 0-8 \right)}^{2}}+{{\left( 14-10 \right)}^{2}}+{{\left( 3-1 \right)}^{2}}}=9$.
Khi đó khoảng cách giữa hai khinh khí cầu sau $3$ giờ là $10.M'{N}'=90km$.
Vậy c) sai.
d) Sau t giờ, khinh khí cầu A ở vị trí $E\left( 5+t;4+2t;2 \right)$; khinh khí cầu B ở vị trí $F\left( 6-2t;5+3t;3 \right)$ Khi đó khoảng cách ngắn nhất giữa hai khinh khí cầu là
$T=10.EF=10.\sqrt{{{\left( 1-3t \right)}^{2}}+{{\left( 1+t \right)}^{2}}+{{1}^{2}}}$ với $t\in \left[ 1;10 \right]$
Xét $f\left( t \right)={{\left( 1-3t \right)}^{2}}+{{\left( 1+t \right)}^{2}}+{{1}^{2}}=10{{t}^{2}}-4t+3$
$f'\left( t \right)=20t-4=0\Leftrightarrow t=0,2$.
$\underset{\left[ 1;10 \right]}{\mathop{Min}}\,f\left( t \right)=f\left( 0,2 \right)=2,6\Rightarrow {{T}_{\min }}=10\sqrt{2,6}\approx 16,1$km.
Vậy d) đúng.
Hot: 1000+ Đề thi giữa kì 2 file word cấu trúc mới 2026 Toán, Văn, Anh... lớp 1-12 (chỉ từ 60k). Tải ngay
- 250+ Công thức giải nhanh môn Toán 12 (chương trình mới) ( 18.000₫ )
- 20 đề thi tốt nghiệp môn Toán (có đáp án chi tiết) ( 38.500₫ )
- Bộ đề thi tốt nghiệp 2025 các môn Toán, Lí, Hóa, Văn, Anh, Sinh, Sử, Địa, KTPL (có đáp án chi tiết) ( 36.000₫ )
- Tổng ôn lớp 12 môn Toán, Lí, Hóa, Văn, Anh, Sinh Sử, Địa, KTPL (Form 2025) ( 36.000₫ )
CÂU HỎI HOT CÙNG CHỦ ĐỀ
Lời giải
Đáp án: 4
Giả sử nguyên liệu được giao sau mỗi $x$ ngày ($x>0$). Để đảm bảo đủ nguyên liệu cho mỗi chu kì sản xuất, doanh nghiệp phải cung cấp $5x$ đơn vị nguyên liệu gỗ cho mỗi lần vận chuyển.
Trong mỗi ngày của chu kì sản xuất, lượng nguyên liệu cần được lưu trữ trung bình là $\frac{5x}{2}$ đơn vị nguyên liệu.
Do đó, chi phí để lưu trữ nguyên liệu trong $x$ ngày của chu kì sản xuất là $200.\frac{5x}{2}.x=500{{x}^{2}}\,$ ngàn đồng.
Từ đây, chi phí cần bỏ ra cho mỗi chu kì sản xuất là $C(x)=8000+500{{x}^{2}}$ ngàn đồng.
Do đó, ta có hàm chi phí trung bình hàng ngày một chu kì sản xuất là
$c(x)=\frac{C(x)}{x}=\frac{8000+500{{x}^{2}}}{x}=\frac{8000}{x}+500x$.


Vậy để chi phí trung bình hàng ngày trong một chu kì sản xuất là ít nhất thì doanh nghiệp nên đặt giao nguyên liệu sau 4 ngày.
Câu 2
Lời giải
a) Chọn 9 ghế từ 12 ghế và sắp xếp 9 bạn vào đó: \[A_{12}^{9}=79.833.600\]. a) Đúng
b) - Coi 9 bạn là một khối thống nhất, khối này cùng với 3 ghế trống tạo thành 4 vị trí để sắp xếp.
- Chọn 1 vị trí trong 4 vị trí để xếp khối đó vào: 4 cách.
- Trong mỗi khối có \[9!\]cách hoán vị 9 bạn.
- Số cách sắp xếp để 9 bạn ngồi cạnh nhau: \[4\times 9!\]
- Xác suất của biến cố: \[P=\frac{4\times 9!}{A_{12}^{9}}=\frac{1}{55}.\] b) Sai
c) - Có \[9!\] cách xếp 9 bạn thành một hàng ngang. Giữa 9 bạn và 2 đầu có tất cả \[9+1=10\] khoảng trống.
- Để không có 2 ghế trống nào cạnh nhau, ta chọn 3 khoảng trống từ 10 khoảng trống để đặt 3 ghế: \[C_{10}^{3}\]cách.
-Số cách xếp để không có hai ghế trống cạnh nhau là: \[9!\times C_{10}^{3}\] cách.
- Xác suất của biến cố: \[P=\frac{9!\times C_{10}^{3}}{A_{12}^{9}}=\frac{6}{11}.\] c) Đúng
d) - Xếp 5 bạn nữ và 3 ghế trống: chọn 3 vị trí cho ghế trống trong 8 chỗ, 5 chỗ còn lại xếp các bạn nữ: \[C_{8}^{3}\times 5!=56\times 120=6.720\] cách.
- Khi đó 8 vị trí (5 nữ và 3 ghế trống) tạo ra 9 khoảng trống. Xếp 4 bạn nam vào 9 khoảng trống có: \[A_{9}^{4}=3.024\] cách.
- Xác suất của biến cố: \[P=\frac{6.720\times 3.024}{79.833.600}=\frac{14}{55}\] d) Đúng
Lời giải
Bạn cần đăng ký gói VIP ( giá chỉ từ 199K ) để làm bài, xem đáp án và lời giải chi tiết không giới hạn.
Lời giải
Bạn cần đăng ký gói VIP ( giá chỉ từ 199K ) để làm bài, xem đáp án và lời giải chi tiết không giới hạn.
Câu 5
Lời giải
Bạn cần đăng ký gói VIP ( giá chỉ từ 199K ) để làm bài, xem đáp án và lời giải chi tiết không giới hạn.
Lời giải
Bạn cần đăng ký gói VIP ( giá chỉ từ 199K ) để làm bài, xem đáp án và lời giải chi tiết không giới hạn.


