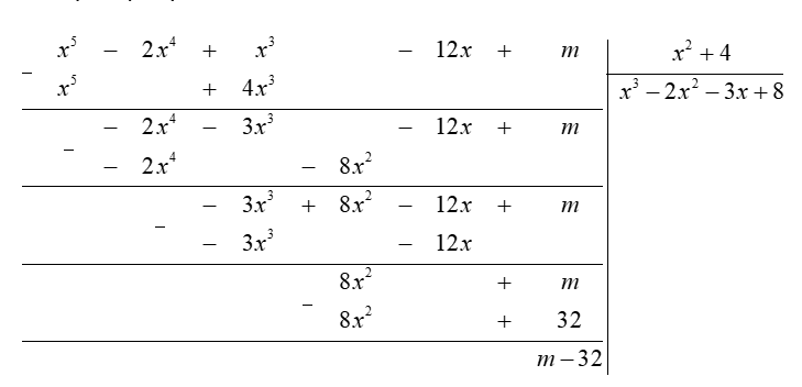
(0,5 điểm) Tìm số \(m\) sao cho đa thức \({x^5} - 2{x^4} + {x^3} - 12x + m\) chia hết cho đa thức \({x^2} + 4\).
Câu hỏi trong đề: Bộ 10 đề thi cuối kì 2 Toán 7 Kết nối tri thức có đáp án !!
Quảng cáo
Trả lời:
Ta thực hiện đặt tính chia đa thức như sau:

Để đa thức \({x^5} - 2{x^4} + {x^3} + 12x + m\) chia hết cho đa thức \({x^2} + 4\) thì \(m - 32 = 0\).
Suy ra \(m = 32\).
Vậy \(m = 32\) thỏa mãn yêu cầu bài toán.
Hot: 1000+ Đề thi cuối kì 2 file word cấu trúc mới 2026 Toán, Văn, Anh... lớp 1-12 (chỉ từ 60k). Tải ngay
CÂU HỎI HOT CÙNG CHỦ ĐỀ
Lời giải

a) Xét \(\Delta ABD\) và \(\Delta EBD\), có:
\(\widehat {BAD} = \widehat {BED} = 90^\circ \);
\(BD\) là cạnh chung;
\(\widehat {ABD} = \widehat {EBD}\) (do \(BD\) là tia phân giác của \(\widehat B\)).
Do đó \(\Delta ABD = \Delta EBD\) (cạnh huyền – góc nhọn).
Suy ra \(BA = BE\) (hai cạnh tương ứng).
b) Xét \(\Delta BEM\) và \(\Delta BAC\), có:
\(\widehat {BEM} = \widehat {BAC} = 90^\circ \);
\(\widehat {ABE}\) là góc chung;
\(BA = BE\) (chứng minh câu a).
Do đó \(\Delta BEM = \Delta BAC\) (cạnh góc vuông – góc nhọn kề).
Suy ra \(\widehat {BME} = \widehat {BCA}\) (cặp góc tương ứng).
Mà \(\widehat {ADM}\) phụ với \[\widehat {BME}\]; \(\widehat {ABC}\) phụ với \(\widehat {BCA}\).
Do đó \(\widehat {ADM} = \widehat {ABC}\).
Lại có \(\widehat {BCA} < \widehat {ABC}\) (do \(AB < AC\)).
Suy ra \(\widehat {BME} = \widehat {BCA} < \widehat {ABC}\) hay \(\widehat {AMD} < \widehat {ADM}\).
Khi đó \(AD < AM\) (quan hệ giữa cạnh và góc trong tam giác).
Mà \(AM < DM\) (quan hệ giữa đường xiên và đường vuông góc).
Vậy trong \(\Delta ADM\), \(AD < AM < DM\).
c) \(\Delta MBC\) có \(CA\) và \(ME\) là hai đường cao cắt nhau tại \(D\).
Suy ra \(D\) là trực tâm của \(\Delta MBC\).
Do đó \(BD\) là đường cao thứ ba của \(\Delta MBC\) (1)
Do \(\Delta BEM = \Delta BAC\) (câu b) nên \(BM = BC\) (hai cạnh tương ứng).
\(\Delta BMC\) có \(BM = BC\) nên là tam giác cân tại \(B\).
Khi đó đường trung tuyến \(BK\) của tam giác đồng thời là đường cao của \(\Delta MBC\) (2)
Từ (1), (2), suy ra ba điểm \(B\), \(D\), \(K\) thẳng hàng.
Câu 2
\(\frac{1}{4}\);
\(\frac{1}{5}\);
\(\frac{4}{5}\);
\(\frac{5}{4}\).
Lời giải
Đáp án đúng là: B
Trong túi có tất cả 5 viên bi có cùng kích thước và khối lượng, xác suất để lấy được viên bi đánh số 4 là \(\frac{1}{5}\).
Câu 3
“Lấy được một quả cầu màu đỏ và một quả cầu màu trắng”;
“Lấy được hai quả cầu màu xanh”;
“Lấy được hai quả cầu màu trắng”;
“Lấy được ít nhất một quả cầu có màu xanh”.
Lời giải
Bạn cần đăng ký gói VIP ( giá chỉ từ 250K ) để làm bài, xem đáp án và lời giải chi tiết không giới hạn.
Câu 4
“Tổng số chấm xuất hiện trên hai con xúc xắc bằng 10”;
“Tổng số chấm xuất hiện trên hai con xúc xắc là một số lớn hơn 3”;
“Tổng số chấm xuất hiện trên hai con xúc xắc là một số nhỏ hơn 13”;
“Tổng số chấm xuất hiện trên hai con xúc xắc là một số lớn hơn 11”.
Lời giải
Bạn cần đăng ký gói VIP ( giá chỉ từ 250K ) để làm bài, xem đáp án và lời giải chi tiết không giới hạn.
Lời giải
Bạn cần đăng ký gói VIP ( giá chỉ từ 250K ) để làm bài, xem đáp án và lời giải chi tiết không giới hạn.
Câu 6
A. \(4\,\,800\,\,{\rm{c}}{{\rm{m}}^3}\);
B. \({\rm{45}}\,\,{\rm{000}}\,\,{\rm{c}}{{\rm{m}}^3}\);
C. \[90{\rm{ }}000\,\,{\rm{c}}{{\rm{m}}^3}\];
D. \[22{\rm{ }}500\,\,{\rm{c}}{{\rm{m}}^3}\].
Lời giải
Bạn cần đăng ký gói VIP ( giá chỉ từ 250K ) để làm bài, xem đáp án và lời giải chi tiết không giới hạn.
Câu 7
A. \(y\) tỉ lệ thuận với \[x\] theo hệ số tỉ lệ \( - \frac{1}{3}\);
B. \(y\) tỉ lệ thuận với \[x\] theo hệ số tỉ lệ \( - 3\);
C. \(y\) tỉ lệ nghịch với \[x\] theo hệ số tỉ lệ \( - \frac{1}{3}\);
D. \(y\) tỉ lệ nghịch với \[x\] theo hệ số tỉ lệ \( - 3\).
Lời giải
Bạn cần đăng ký gói VIP ( giá chỉ từ 250K ) để làm bài, xem đáp án và lời giải chi tiết không giới hạn.