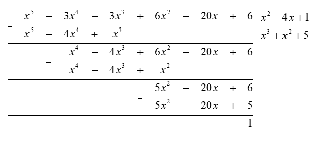
(0,5 điểm) Cho \({x^2} - 4x + 1 = 0\).
Tính giá trị của biểu thức \(A = {x^5} - 3{x^4} - 3{x^3} + 6{x^2} - 20x + 6\).
Câu hỏi trong đề: Bộ 10 đề thi cuối kì 2 Toán 7 Kết nối tri thức có đáp án !!
Quảng cáo
Trả lời:
Ta thực hiện đặt tính chia đa thức \(A\) cho đa thức \({x^2} - 4x + 1\) như sau:

Do đó ta có \(A = \left( {{x^2} - 4x + 1} \right).\left( {{x^3} + {x^2} + 5} \right) + 1\).
Mà theo bài, \({x^2} - 4x + 1 = 0\) nên \(A = 0.\left( {{x^3} + {x^2} + 5} \right) + 1 = 1\).
Vậy \(A = 1\).
Hot: 1000+ Đề thi cuối kì 2 file word cấu trúc mới 2026 Toán, Văn, Anh... lớp 1-12 (chỉ từ 60k). Tải ngay
CÂU HỎI HOT CÙNG CHỦ ĐỀ
Lời giải

a) Xét \(\Delta ABC\) vuông tại \(A\) có \(\widehat B = 60^\circ \)
Suy ra \(\widehat C = 90^\circ - \widehat B = 30^\circ \).
Do đó \(\widehat C < \widehat B\) nên \(AB < AC\) nên \(M\) nằm giữa \(H\) và \(C\)
Hay \(HM < HC\)
Mà \(HM = HB\), suy ra \(HB < HC\).
b) Xét \(\Delta AHB\) và \(\Delta AHM\) có:
\(\widehat {AHB} = \widehat {AHM} = 90^\circ \);
\(AH\) là cạnh chung;
\(HM = HB\) (giả thiết).
Do đó \(\Delta AHB = \Delta AHM\) (hai cạnh góc vuông)
Suy ra \(AB = AM\) (hai cạnh tương ứng)
\(\Delta ABM\) có \(AB = AM\) nên là tam giác cân tại \(A\).
Lại có \(\widehat B = 60^\circ \) (giả thiết) nên \(\Delta ABM\) là tam giác đều.
c) Do \(\Delta ABM\) là tam giác đều nên \(\widehat {MAB} = 60^\circ \).
Suy ra \(\widehat {MAC} = 90^\circ - \widehat {MAB} = 90^\circ - 60^\circ = 30^\circ \)
Tam giác \(MAC\) có \(\widehat {MAC} = \widehat {MCA} = 30^\circ \) nên là tam giác cân tại \(M\).
Suy ra \(MA = MC\).
Lại có \(MA = MB\) (do \(\Delta ABM\) đều)
Do đó \(MB = MC\) hay \(M\) là trung điểm của \(BC\).
Xét \(\Delta ABC\) có \(AM,BN\) là hai đường trung tuyến của tam giác cắt nhau tại \(O\) nên \(O\) là trọng tâm của tam giác.
Suy ra \(AO = \frac{2}{3}AM = \frac{2}{3}AB = \frac{2}{3}.6 = 4\,\,\left( {{\rm{cm}}} \right)\).
Lời giải
Gọi \(x,y,z\) (số máy) lần lượt là số máy cày của đội thứ nhất, đội thứ hai và đội thứ ba.
Do đội thứ nhất có nhiều hơn đội thứ ba 1 máy nên \(x - z = 1\).
Do năng suất các máy như nhau và 3 cánh đồng có cùng diện tích nên số máy cày và thời gian cày xong cánh đồng là hai đại lượng tỉ lệ nghịch.
Do đó ta có \(5x = 3y = 6z\) hay \(\frac{x}{{\frac{1}{5}}} = \frac{y}{{\frac{1}{3}}} = \frac{z}{{\frac{1}{6}}}\).
Áp dụng tính chất của dãy tỉ số bằng nhau ta có: \(\frac{x}{{\frac{1}{5}}} = \frac{y}{{\frac{1}{3}}} = \frac{z}{{\frac{1}{6}}} = \frac{{x - z}}{{\frac{1}{5} - \frac{1}{6}}} = \frac{1}{{\frac{1}{{30}}}} = 30\)
Suy ra \(x = 30.\frac{1}{5} = 6\); \(y = 30.\frac{1}{3} = 10\); \(z = 30.\frac{1}{6} = 5\).
Vậy đội thứ nhất, đội thứ hai, đội thứ ba lần lượt có 6 máy cày ; 10 máy cày và 5 máy cày.
Lời giải
Bạn cần đăng ký gói VIP ( giá chỉ từ 250K ) để làm bài, xem đáp án và lời giải chi tiết không giới hạn.
Lời giải
Bạn cần đăng ký gói VIP ( giá chỉ từ 250K ) để làm bài, xem đáp án và lời giải chi tiết không giới hạn.
Câu 5
Màu đen;
Màu trắng;
Màu xanh;
Màu đỏ.
Lời giải
Bạn cần đăng ký gói VIP ( giá chỉ từ 250K ) để làm bài, xem đáp án và lời giải chi tiết không giới hạn.
Câu 6
A. \(700\,\,{\rm{c}}{{\rm{m}}^2}\);
B. \(800\,\,{\rm{c}}{{\rm{m}}^2}\);
C. \(850\,\,{\rm{c}}{{\rm{m}}^2}\);
D. \(900\,\,{\rm{c}}{{\rm{m}}^2}\).
Lời giải
Bạn cần đăng ký gói VIP ( giá chỉ từ 250K ) để làm bài, xem đáp án và lời giải chi tiết không giới hạn.