Tính diện tích hình tam giác có độ dài đáy là a và chiều cao là h:
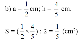
b) a = 1/2 cm; h = 4/5 cm.
Quảng cáo
Trả lời:

Hot: 1000+ Đề thi giữa kì 2 file word cấu trúc mới 2026 Toán, Văn, Anh... lớp 1-12 (chỉ từ 60k). Tải ngay
CÂU HỎI HOT CÙNG CHỦ ĐỀ
Lời giải
Lời giải
b) Đổi 30 cm = 3 dm
Diện tích tam giác là: = 6 (dm2)
Lời giải
Bạn cần đăng ký gói VIP ( giá chỉ từ 199K ) để làm bài, xem đáp án và lời giải chi tiết không giới hạn.