(0,5 điểm) Cho đa thức \(A\left( x \right) = a{x^2} + bx + c\). Biết \(A\left( x \right)\) nhận \( - 1\) làm nghiệm và \(A\left( x \right)\) chia hết cho đa thức \(x - 1\). Chứng minh \(a\) và \(c\) là hai số đối nhau.
Câu hỏi trong đề: Bộ 10 đề thi cuối kì 2 Toán 7 Chân trời sáng tạo có đáp án !!
Quảng cáo
Trả lời:
Do \(A\left( x \right)\) nhận \( - 1\) làm nghiệm nên ta có \(A\left( { - 1} \right) = 0\)
Do đó \(a.{\left( { - 1} \right)^2} + b.\left( { - 1} \right) + c = 0\), suy ra \(a - b + c = 0\,\,\,\,\left( 1 \right)\)
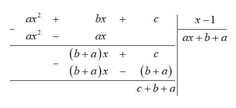
Ta thực hiện đặt tính chia đa thức \(A\left( x \right)\) cho đa thức \(x - 1\) như sau:

Để \(A\left( x \right)\) chia hết cho đa thức \(x - 1\) thì \(c + b + a = 0\,\,\,\,\left( 2 \right)\)
Từ \(\left( 1 \right)\) và \(\left( 2 \right)\) ta có \(a - b + c = c + b + a\)
Suy ra \(2b = 0\), nên \(b = 0\).
Thay \(b = 0\) vào \(\left( 1 \right)\) ta được \(a + c = 0\), do đó \(a = - c\).
Vậy \(a\) và \(c\) là hai số đối nhau.
Lưu ý: Với dữ kiện \(A\left( x \right)\) chia hết cho đa thức \(x - 1\) ta có thể suy ra điều kiện \(\left( 2 \right)\) theo cách sau:
\(A\left( x \right)\) chia hết cho đa thức \(x - 1\) nên ta có:
\(A\left( x \right) = \left( {x - 1} \right).Q\left( x \right)\) với \(Q\left( x \right)\) là thương của phép chia đa thức \(A\left( x \right)\) cho đa thức \(x - 1\).
Khi đó \(A\left( 1 \right) = \left( {1 - 1} \right).Q\left( 1 \right) = 0\) hay \(A\left( 1 \right) = 0\).
Suy ra \(a + b + c = 0\) \(\left( 2 \right)\).
Hot: 1000+ Đề thi giữa kì 2 file word cấu trúc mới 2026 Toán, Văn, Anh... lớp 1-12 (chỉ từ 60k). Tải ngay
CÂU HỎI HOT CÙNG CHỦ ĐỀ
Lời giải
a) Biến cố \(M\) là biến cố chắc chắn, vì hai số nhỏ nhất ghi trên mỗi quả bóng lấy từ hộp \(A\) và hộp \(B\) lần lượt là 1 và 2 nên tổng các số ghi trên hai quả bóng nhỏ nhất là 3, chắc chắn lớn hơn 2.
Biến cố \(P\) là biến cố không thể, vì chênh lệch lớn nhất giữa hai số lấy được trên mỗi quả bóng từ một hộp là 9, khi hộp \(A\) lấy được số 1 và hộp \(B\) lấy được số 10.
b) Trong 5 quả bóng ở hộp \(A\) ghi các số \(1;\,3;5;7;9\), có 3 số nguyên tố là \(3;5;7\).
Xác suất của biến cố ngẫu nhiên \[Q\] là: \(\frac{3}{5}\).
Lời giải

a) Xét \(\Delta ACE\) và \(\Delta KCE\) có:
\(\widehat {CAE} = \widehat {CKE} = 90^\circ \);
\(EC\) là cạnh chung;
\(\widehat {ACE} = \widehat {KCE}\) (do \(CE\) là tia phân giác của \(\widehat {ACB}\)).
Do đó \(\Delta ACE = \Delta KCE\) (cạnh huyền – góc nhọn).
Suy ra \(EA = EK\) và \(CA = CK\) (các cặp cạnh tương ứng).
Do đó \(CE\) là đường trung trực của đoạn thẳng \(AK\) nên \(CE \bot AK\).
b) Xét \(\Delta ABC\) vuông tại \(A\) có \(\widehat {ABC} + \widehat {ACB} = 90^\circ \)
Suy ra \[\widehat {ABC} = 90^\circ - \widehat {ACB} = 30^\circ \].
Mặt khác \(CE\) là tia phân giác của \(\widehat {ACB}\) nên \(\widehat {ACE} = \widehat {KCE} = 30^\circ \).
\(\Delta BCE\) có \(\widehat {ABC} = \widehat {ECB} = 30^\circ \) nên là tam giác cân tại \(E\).
Suy ra \(EB = EC\) nên \(E\) nằm trên đường trung trực \(d\) của đoạn thẳng \(BC\).
Do đó \(d\) đi qua \(E\) và \(d \bot BC\)
Lại có \(EK \bot BC\), suy ra \(EK\) là đường trung trực của đoạn thẳng \(BC\).
Khi đó \(K\) là trung điểm của \(BC\) nên \(BK = KC\) và \(BC = 2KC\)
Mà \(AC = KC\) (câu a) nên \(BC = 2AC\).
Xét \(\Delta BKE\) vuông tại \(K\) có \(BE\) là cạnh huyền nên là cạnh lớn nhất của tam giác
Do đó \(BE > BK\) mà \(BK = KC = AC\) nên \(BE > AC\).
c) Giả sử hai đường thẳng \(BD\) và \(AC\) cắt nhau tại \(I\).
Xét \(\Delta IBC\) có hai đường cao \(BA,CD\) cắt nhau tại \(E\) nên \(E\) là trực tâm của tam giác.
Suy ra \(IE \bot BC\).
Mà \(EK \bot BC\) nên ba điểm \(I,E,K\) thẳng hàng.
Vậy ba đường thẳng \(AC,EK,BD\) đồng quy.
Câu 3
A. \[\frac{a}{3} = \frac{4}{b}\];
B. \[\frac{a}{b} = \frac{3}{4}\];
C. \[\frac{b}{2} = \frac{6}{a}\];
D. \[\frac{a}{{ - 4}} = \frac{{ - 3}}{b}\].
Lời giải
Bạn cần đăng ký gói VIP ( giá chỉ từ 199K ) để làm bài, xem đáp án và lời giải chi tiết không giới hạn.
Câu 4
A. \[m;z;n;t\];
B. \[z;n\];
C. \[z;t\];\(\)
D. \[m;z;t\].
Lời giải
Bạn cần đăng ký gói VIP ( giá chỉ từ 199K ) để làm bài, xem đáp án và lời giải chi tiết không giới hạn.
Câu 5
Xác suất của một biến cố là một số nằm từ 0 đến 1;
Các biến cố có khả năng xảy ra bằng nhau thì có xác suất bằng nhau;
Biến cố có xác suất càng lớn càng dễ xảy ra;
Xác suất của biến cố chắc chắn bằng 0.
Lời giải
Bạn cần đăng ký gói VIP ( giá chỉ từ 199K ) để làm bài, xem đáp án và lời giải chi tiết không giới hạn.
Lời giải
Bạn cần đăng ký gói VIP ( giá chỉ từ 199K ) để làm bài, xem đáp án và lời giải chi tiết không giới hạn.