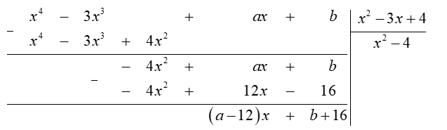
(0,5 điểm) Tìm các số nguyên \(a\) và \(b\) để đa thức \(A\left( x \right) = {x^4} - 3{x^3} + ax + b\) chia hết cho đa thức \(B\left( x \right) = {x^2} - 3x + 4\).
Câu hỏi trong đề: Bộ 10 đề thi cuối kì 2 Toán 7 Chân trời sáng tạo có đáp án !!
Quảng cáo
Trả lời:
Ta thực hiện đặt tính chia đa thức như sau:

Để đa thức \(A\left( x \right)\) chia hết cho đa thức \(B\left( x \right)\) thì \(\left( {a - 12} \right)x + b + 16 = 0\), với mọi \(x\)
Điều này xảy ra khi và chỉ khi \(\left\{ \begin{array}{l}a - 12 = 0\\b + 16 = 0\end{array} \right.\), suy ra \(\left\{ \begin{array}{l}a = 12\\b = - 16\end{array} \right.\).
Vậy \(a = 12\) và \(b = - 16\).
Hot: 1000+ Đề thi giữa kì 2 file word cấu trúc mới 2026 Toán, Văn, Anh... lớp 1-12 (chỉ từ 60k). Tải ngay
CÂU HỎI HOT CÙNG CHỦ ĐỀ
Lời giải

a) Xét \(\Delta AHB\) và \(\Delta AHC\) có:
\(\widehat {AHB} = \widehat {AHC} = 90^\circ \);
\(AB = AC\) (do \[\Delta ABC\] cân tại \(A\))
\(AH\) là cạnh chung.
Do đó \(\Delta AHB = \Delta AHC\) (cạnh huyền – cạnh góc vuông).
Suy ra \(HB = HC\) (hai cạnh tương ứng)
Khi đó \(H\) là trung điểm của \(BC\).
b) • Xét \(\Delta AEC\) có \(AI,CB\) là hai đường trung tuyến của tam giác và \(AI,CB\) cắt nhau tại \(M\) nên \(M\) là trọng tâm của \(\Delta AEC\).
Do đó \(BM = \frac{1}{3}BC\)
Mà \(BC = 2BH\) (do \(H\) là trung điểm của \(BC\)).
Suy ra \(BM = \frac{1}{3}.2BH\) hay \(2BH = 3BM\).
• Ta có \(BM = \frac{1}{3}BC = \frac{1}{3}.6 = 2\,\,\left( {{\rm{cm}}} \right)\).
c) Ta có \(BM = \frac{1}{3}.2BH\) suy ra \(HM = BH - BM = BH - \frac{2}{3}BH = \frac{1}{3}BH\)
Do đó \(HM = \frac{1}{3}.\frac{1}{2}BC = \frac{1}{6}BC\) hay \(6HM = BC\).
Xét \(\Delta ABC\) ta có \(AB + AC > BC\) (bất đẳng thức tam giác)
Suy ra \(AB + AC > 6HM\).
Câu 2
\(\frac{1}{4}\);
\(\frac{1}{6}\);
\(\frac{1}{9}\);
\(\frac{1}{{12}}\).
Lời giải
Đáp án đúng là: B
Các kết quả có thể xảy ra đối với số xuất hiện trên mặt mỗi con xúc sắc khi Lan gieo là \[A = \left\{ {1;2;3;4;5;6} \right\}\] có \(6\) kết quả.
Các kết quả có thể xảy ra đối với số xuất hiện trên mặt mỗi con xúc sắc khi Ngọc gieo là \[B = \left\{ {1;2;3;4;5;6} \right\}\] có \(6\) kết quả.
Khi cả hai bạn cùng gieo thì số kết quả có thể xảy ra là \(36\) kết quả.
Các lần gieo có hiệu số chấm xuất hiện trên hai con xúc xắc bằng \(3\) là
\(\left( {1;4} \right);\left( {4;1} \right);\left( {2;5} \right);\left( {5;2} \right);\left( {3;6} \right);\left( {6;3} \right)\).
Do đó xác xuất của biến cố “Hiệu số giữa số chấm xuất hiện trên hai con xúc xắc bằng 3” là: \(\frac{6}{{36}} = \frac{1}{6}\).
Câu 3
\(\frac{3}{{10}}\);
\(\frac{7}{{10}}\);
\(\frac{1}{{10}}\);
\(\frac{1}{3}\).
Lời giải
Bạn cần đăng ký gói VIP ( giá chỉ từ 199K ) để làm bài, xem đáp án và lời giải chi tiết không giới hạn.
Câu 4
A: “Lấy được lá thăm có đánh số 4”;
B: “Lấy được lá thăm có đánh số 9”;
C: “Lấy được lá thăm có đánh số lớn hơn 0”;
D: “Lấy được lá thăm có đánh số chẵn”.
Lời giải
Bạn cần đăng ký gói VIP ( giá chỉ từ 199K ) để làm bài, xem đáp án và lời giải chi tiết không giới hạn.
Câu 5
“An lấy được viên bi màu đỏ”;
“An lấy được viên bi màu trắng”;
“An lấy được viên bi màu đen”;
“An lấy được viên bi màu xanh hoặc viên bi màu đỏ”.
Lời giải
Bạn cần đăng ký gói VIP ( giá chỉ từ 199K ) để làm bài, xem đáp án và lời giải chi tiết không giới hạn.
Câu 6
\[17\,\,{\rm{cm}};\,13\,\,{\rm{cm}};\,27\,\,{\rm{cm}}\];
\(4\,\,{\rm{cm}};\,5\,\,{\rm{cm}};\,9\,\,{\rm{cm}}\);
\(8\,\,{\rm{cm}};\,17\,\,{\rm{cm}};\,5\,\,{\rm{cm}}\);
\(1\,\,{\rm{cm}};\,2\,\,{\rm{cm}};\,3\,\,{\rm{cm}}\).
Lời giải
Bạn cần đăng ký gói VIP ( giá chỉ từ 199K ) để làm bài, xem đáp án và lời giải chi tiết không giới hạn.