(0,5 điểm) Cho \({x^2} - 4x + 1 = 0\).
Tính giá trị của biểu thức \(A = {x^5} - 3{x^4} - 3{x^3} + 6{x^2} - 20x + 6\).
Câu hỏi trong đề: Bộ 10 đề thi cuối kì 2 Toán 7 Cánh diều có đáp án !!
Quảng cáo
Trả lời:
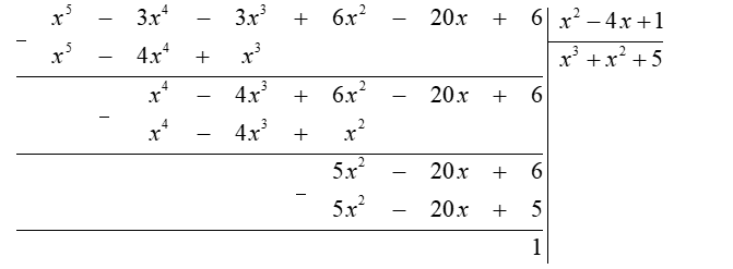
Ta thực hiện đặt tính chia đa thức \(A\) cho đa thức \({x^2} - 4x + 1\) như sau:

Do đó ta có \(A = \left( {{x^2} - 4x + 1} \right).\left( {{x^3} + {x^2} + 5} \right) + 1\).
Mà theo bài, \({x^2} - 4x + 1 = 0\) nên \(A = 0.\left( {{x^3} + {x^2} + 5} \right) + 1 = 1\).
Vậy \(A = 1\).
Hot: 1000+ Đề thi giữa kì 2 file word cấu trúc mới 2026 Toán, Văn, Anh... lớp 1-12 (chỉ từ 60k). Tải ngay
CÂU HỎI HOT CÙNG CHỦ ĐỀ
Lời giải

a) Xét \(\Delta ABD\) và \(\Delta EBD\), có:
\(\widehat {BAD} = \widehat {BED} = 90^\circ \);
\(BD\) là cạnh chung;
\(\widehat {ABD} = \widehat {EBD}\) (do \(BD\) là tia phân giác của \(\widehat B\)).
Do đó \(\Delta ABD = \Delta EBD\) (cạnh huyền – góc nhọn).
Suy ra \(BA = BE\) (hai cạnh tương ứng).
b) Xét \(\Delta BEM\) và \(\Delta BAC\), có:
\(\widehat {BEM} = \widehat {BAC} = 90^\circ \);
\(\widehat {ABE}\) là góc chung;
\(BA = BE\) (chứng minh câu a).
Do đó \(\Delta BEM = \Delta BAC\) (cạnh góc vuông – góc nhọn kề).
Suy ra \(\widehat {BME} = \widehat {BCA}\) (cặp góc tương ứng).
Mà \(\widehat {ADM}\) phụ với \[\widehat {BME}\]; \(\widehat {ABC}\) phụ với \(\widehat {BCA}\).
Do đó \(\widehat {ADM} = \widehat {ABC}\).
Lại có \(\widehat {BCA} < \widehat {ABC}\) (do \(AB < AC\)).
Suy ra \(\widehat {BME} = \widehat {BCA} < \widehat {ABC}\) hay \(\widehat {AMD} < \widehat {ADM}\).
Khi đó \(AD < AM\) (quan hệ giữa cạnh và góc trong tam giác).
Mà \(AM < DM\) (quan hệ giữa đường xiên và đường vuông góc).
Vậy trong \(\Delta ADM\), \(AD < AM < DM\).
c) \(\Delta MBC\) có \(CA\) và \(ME\) là hai đường cao cắt nhau tại \(D\).
Suy ra \(D\) là trực tâm của \(\Delta MBC\).
Do đó \(BD\) là đường cao thứ ba của \(\Delta MBC\) (1)
Do \(\Delta BEM = \Delta BAC\) (câu b) nên \(BM = BC\) (hai cạnh tương ứng).
\(\Delta BMC\) có \(BM = BC\) nên là tam giác cân tại \(B\).
Khi đó đường trung tuyến \(BK\) của tam giác đồng thời là đường cao của \(\Delta MBC\) (2)
Từ (1), (2), suy ra ba điểm \(B\), \(D\), \(K\) thẳng hàng.
Lời giải
a) Bảng số liệu thống kê số học sinh mẫu giáo của nước ta như sau:

b) Trong giai đoạn từ năm 2016 đến năm 2022, năm 2022 có số học sinh mẫu giáo ít nhất.
Số học sinh mẫu giáo năm 2022 đó giảm \(4327,7 - 3895,3 = 432,4\) (nghìn học sinh), tương ứng giảm \(\frac{{432,4}}{{4327,7}}.100\% \approx 10\% \) so với năm 2021.
c) Trong 7 năm từ năm 2016 đến năm 2022, có 3 năm có số học sinh mẫu giáo nhiều hơn \(4,4\) triệu học sinh (nhiều hơn \(4\,400\) nghìn học sinh) là năm \(2017;2018;2019\).
Xác suất để năm được chọn có số học sinh mẫu giáo nhiều hơn \(4,4\) triệu học sinh là \(\frac{3}{7}\).
Câu 3
A. \(6\,\,{\rm{cm}}\);
B. \(4,5\,\,{\rm{cm}}\);
C. \(3\,\,{\rm{cm}}\);
D. \(2\,\,{\rm{cm}}\).
Lời giải
Bạn cần đăng ký gói VIP ( giá chỉ từ 199K ) để làm bài, xem đáp án và lời giải chi tiết không giới hạn.
Câu 4
A. \(2.\left( {x + y} \right)\);
B. \(xy\);
C. \(2xy\);
D. \(\frac{{x + y}}{2}\).
Lời giải
Bạn cần đăng ký gói VIP ( giá chỉ từ 199K ) để làm bài, xem đáp án và lời giải chi tiết không giới hạn.
Lời giải
Bạn cần đăng ký gói VIP ( giá chỉ từ 199K ) để làm bài, xem đáp án và lời giải chi tiết không giới hạn.
Câu 6
Hình tròn trên được chia thành 4 hình quạt;
Số lượng bút bi xanh bán được chiếm 40%;
Số lượng bút chì bán được chiếm 25%;
Số lượng bút dạ quang bán được chiếm 5%.
Lời giải
Bạn cần đăng ký gói VIP ( giá chỉ từ 199K ) để làm bài, xem đáp án và lời giải chi tiết không giới hạn.
Câu 7
A. \(\frac{1}{{20}}\);
B. \(\frac{1}{2}\);
C. \(\frac{3}{{20}}\);
D. \(\frac{3}{{10}}\).
Lời giải
Bạn cần đăng ký gói VIP ( giá chỉ từ 199K ) để làm bài, xem đáp án và lời giải chi tiết không giới hạn.


