Cho đa thức \[P\left( x \right) = - 2 - 2{x^4} - x - 5{x^3} + 10x - 17{x^2} + \frac{1}{2}{x^3} - 5 + {x^3}\].
A. Thu gọn đa thức \[P\left( x \right) = - 2{x^4} - \frac{7}{2}{x^3} - 17{x^2} + 9x - 2\].
B. Đa thức \[P\left( x \right)\] có bậc là 4.
C. Đa thức \[P\left( x \right)\] có hệ số cao nhất là \[ - 17\].
D. Phép chia đa thức \[P\left( x \right):\left( {x - 2} \right)\] có dư là \[2\].
Quảng cáo
Trả lời:
Đáp án đúng là: a) Sai. b) Đúng. c) Sai. d) Sai.
Ta có: \[P\left( x \right) = - 2 - 2{x^4} - x - 5{x^3} + 10x - 17{x^2} + \frac{1}{2}{x^3} - 5 + {x^3}\]
\[P\left( x \right) = - 2{x^4} + \left( {{x^3} + \frac{1}{2}{x^3} - 5{x^3}} \right) - 17{x^2} + \left( {10x - x} \right) + \left( { - 5 - 2} \right)\]
\[P\left( x \right) = - 2{x^4} - \frac{7}{2}{x^3} - 17{x^2} + 9x - 7\].
Do đó, đa thức \[P\left( x \right)\] có bậc là 4 và hệ số cao nhất là \[ - 2.\]
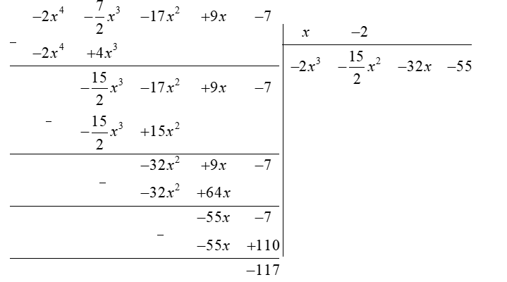
Thực hiện chia đa thức \[P\left( x \right)\] cho đa thức \[\left( {x - 2} \right)\], ta được:

Do đó, phép chia đa thức \[P\left( x \right):\left( {x - 2} \right)\] có dư là \[ - 117\].
Hot: 1000+ Đề thi cuối kì 2 file word cấu trúc mới 2026 Toán, Văn, Anh... lớp 1-12 (chỉ từ 60k). Tải ngay
CÂU HỎI HOT CÙNG CHỦ ĐỀ
Lời giải
Đáp án: \[0,8\]
Số lần lấy được bóng màu xanh là: \[60 - 12 = 48\] (lần)
Do đó, xác suất lấy được bóng màu xanh là: \[\frac{{48}}{{60}} = \frac{4}{5} = 0,8\].
Lời giải
Đáp án: \(0,25\)
Gọi \(A\) là biến cố sau hai lần rút được hai số giống nhau.
Các kết quả có thể xảy ra là: \(4.4 = 16\).
Xác kết quả thuận lợi cho biến cố \(A\) là: \(11;22;33;44\).
Số lần biến cố \(A\) xảy ra là \(4\).
Do đó, xác suất để sau hai lần rút được hai thẻ giống nhau là: \(\frac{4}{{16}} = \frac{1}{4} = 0,25\).
Lời giải
Bạn cần đăng ký gói VIP ( giá chỉ từ 250K ) để làm bài, xem đáp án và lời giải chi tiết không giới hạn.
Câu 4
A. Biến cố “Thẻ rút được là số nguyên tố” là biến cố chắc chắn.
B. Biến cố “Thẻ rút được là ước của \[72\]” là biến cố ngẫu nhiên.
C. Xác suất của biến cố “Thẻ rút được là bội của 2” là \[\frac{1}{2}.\]
D. Xác suất của biến cố “Thẻ rút được là số chia 3 dư 2” là \[\frac{2}{3}.\]
Lời giải
Bạn cần đăng ký gói VIP ( giá chỉ từ 250K ) để làm bài, xem đáp án và lời giải chi tiết không giới hạn.
Lời giải
Bạn cần đăng ký gói VIP ( giá chỉ từ 250K ) để làm bài, xem đáp án và lời giải chi tiết không giới hạn.
Câu 6
A. Thu gọn đa thức \[M\left( x \right) = 2{x^4} + 4{x^3} - 6x + 1\].
B. Thu gọn đa thức \(N\left( x \right) = {x^4} - 2{x^3} + {x^2} + 6x - 6\).
C. \(8M\left( 1 \right) + N\left( { - 1} \right) = 16.\)
D. Đa thức \(Q\left( x \right) = 3{x^4} + 2{x^3} + 4\) với \(Q\left( x \right) = M\left( x \right) + N\left( x \right)\).
Lời giải
Bạn cần đăng ký gói VIP ( giá chỉ từ 250K ) để làm bài, xem đáp án và lời giải chi tiết không giới hạn.
Lời giải
Bạn cần đăng ký gói VIP ( giá chỉ từ 250K ) để làm bài, xem đáp án và lời giải chi tiết không giới hạn.
