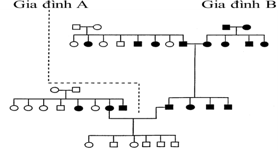
Bệnh alkan niệu là một bệnh di truyền hiếm gặp. Gene gây bệnh (alk) là gene lặn nằm trên nhiễm sắc thể số 9. Gene alk liên kết với gene I mã hoá cho hệ nhóm máu ABO. Khoảng cách giữa gene alk và gene I là 11cM. Dưới đây là một sơ đồ phả hệ của một gia đình bệnh nhân. Người số 3 và 4 sinh thêm đứa con thứ 5. Biết rằng bác sĩ xét nghiệm cho biết thai đứa con thứ 5 có nhóm máu B.

Dựa vào các thông tin và sơ đồ phả hệ trên, hãy cho biết các kết luận dưới đây là sai?
Bệnh alkan niệu là một bệnh di truyền hiếm gặp. Gene gây bệnh (alk) là gene lặn nằm trên nhiễm sắc thể số 9. Gene alk liên kết với gene I mã hoá cho hệ nhóm máu ABO. Khoảng cách giữa gene alk và gene I là 11cM. Dưới đây là một sơ đồ phả hệ của một gia đình bệnh nhân. Người số 3 và 4 sinh thêm đứa con thứ 5. Biết rằng bác sĩ xét nghiệm cho biết thai đứa con thứ 5 có nhóm máu B.

Dựa vào các thông tin và sơ đồ phả hệ trên, hãy cho biết các kết luận dưới đây là sai?
Quảng cáo
Trả lời:
Hot: 1000+ Đề thi cuối kì 2 file word cấu trúc mới 2026 Toán, Văn, Anh... lớp 1-12 (chỉ từ 60k). Tải ngay
CÂU HỎI HOT CÙNG CHỦ ĐỀ
Lời giải
Bạn cần đăng ký gói VIP ( giá chỉ từ 250K ) để làm bài, xem đáp án và lời giải chi tiết không giới hạn.
Lời giải
Bạn cần đăng ký gói VIP ( giá chỉ từ 250K ) để làm bài, xem đáp án và lời giải chi tiết không giới hạn.
Câu 5
Lời giải
Bạn cần đăng ký gói VIP ( giá chỉ từ 250K ) để làm bài, xem đáp án và lời giải chi tiết không giới hạn.
Câu 6
Lời giải
Bạn cần đăng ký gói VIP ( giá chỉ từ 250K ) để làm bài, xem đáp án và lời giải chi tiết không giới hạn.
Câu 7
Lời giải
Bạn cần đăng ký gói VIP ( giá chỉ từ 250K ) để làm bài, xem đáp án và lời giải chi tiết không giới hạn.




