Đề thi Giữa kì 2 Toán 10 trường THPT Hướng Hóa (Quảng Trị) năm 2024–2025
Khoahoc.vietjack.com cập nhật Đề thi Giữa kì 2 Toán 10 trường THPT Hướng Hóa, tỉnh Quảng Trị năm 2024 – 2025 sẽ giúp học sinh lớp 10 có thêm tài liệu ôn thi Toán 10 Giữa học kì 2. Mời các bạn đón đọc:
Xem thử Đề Toán 10 GK2 KNTTXem thử Đề Toán 10 GK2 Cánh diều Xem thử Đề Toán 10 GK2 CTST
Chỉ từ 150k mua trọn bộ Đề thi Toán 10 Giữa kì 2 (mỗi bộ sách) theo cấu trúc mới bản word có lời giải chi tiết:
A. Tóm tắt nội dung một số câu trong Đề thi Giữa kì 2 Toán 10
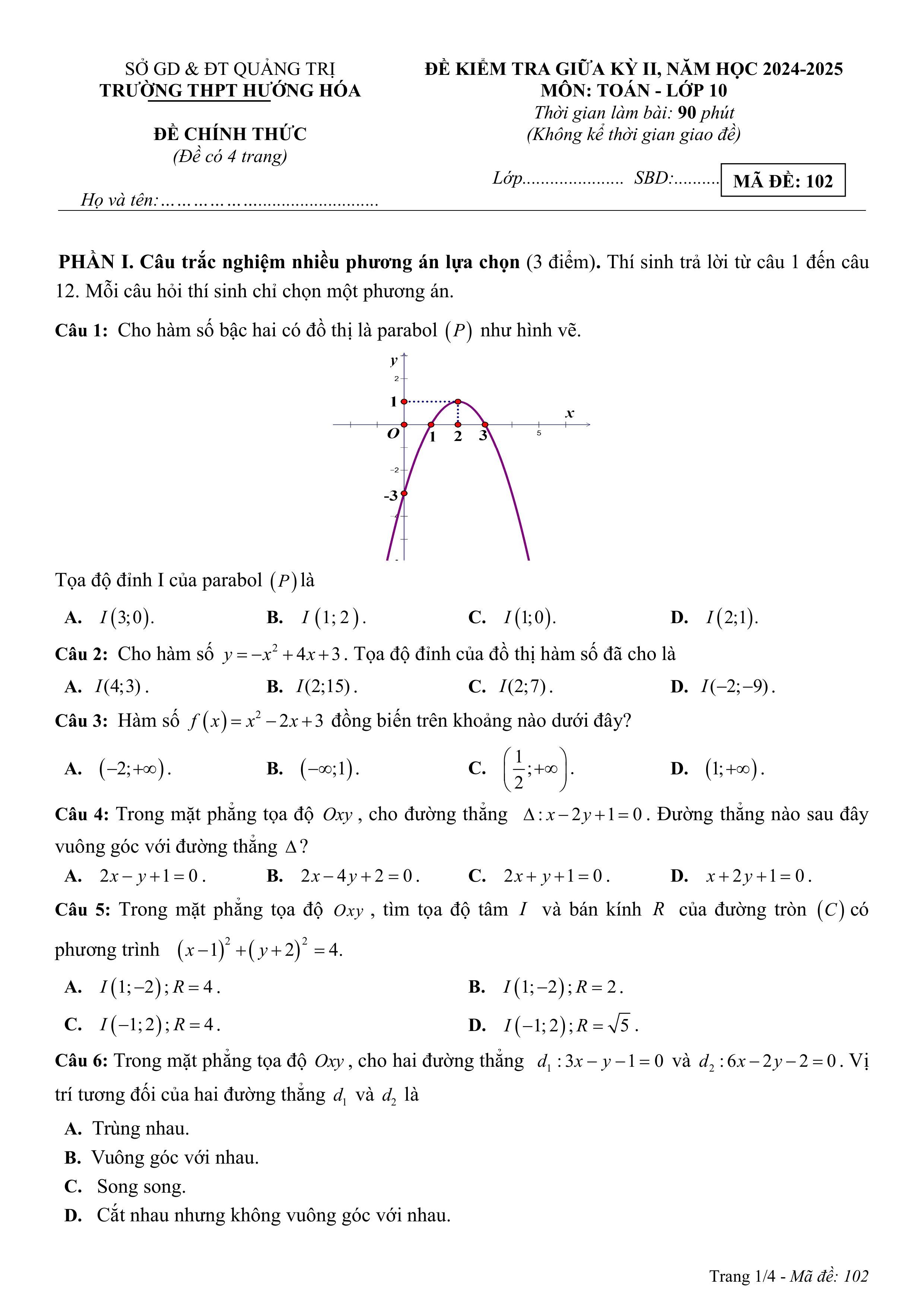
PHẦN I. Câu trắc nghiệm nhiều phương án lựa chọn (3 điểm). Thí sinh trả lời từ câu 1 đến câu 12. Mỗi câu hỏi thí sinh chỉ chọn một phương án.
...........................................................................................
PHẦN II. Câu trắc nghiệm đúng sai (2 điểm). Thí sinh trả lời từ câu 1 đến câu 2. Trong mỗi ý a), b), c), d) ở mỗi câu, thí sinh chọn đúng hoặc sai.
...........................................................................................
PHẦN III. Câu trắc nghiệm trả lời ngắn (2 điểm). Thí sinh trả lời từ câu 1 đến câu 4.
Câu 4: Có hai tàu A và B nằm cùng phía với đường bờ biển (giả sử đường bờ biển là một đường thẳng). Biết tàu A, tàu B lần lượt cách đường bờ biển 3 hải lí và 6 hải lí, khoảng cách giữa hai tàu A và B là 5 hải lí. Người ta muốn xây dựng một trạm nhiên liệu dọc theo đường bờ biển. Hỏi phải đặt trạm nhiên liệu cách tàu A bao nhiêu hải lí để tổng khoảng cách từ trạm nhiên liệu đến hai tàu A và B là nhỏ nhất (kết quả làm tròn đến hàng phần chục)?
...........................................................................................
PHẦN IV. Câu hỏi tự luận (3 điểm).
Câu 4: (0,5 điểm) Khi một quả bóng được đá lên nó sẽ đạt được độ cao nào đó rồi rơi xuống. Biết rằng quỹ đạo của quả bóng là một parabol. Giả thiết rằng bóng được đá từ độ cao 1 m. Sau đó 1 giây nó đạt độ cao 8,5 m và 2 giây sau khi đá nó đạt độ cao 6 m. Hỏi sau bao nhiêu giây quả bóng chạm đất (kết quả chính xác đến hàng phần trăm)?
Câu 5: (0,5 điểm) An sống trong một căn nhà trên con đường dọc bờ biển. An làm việc ở một hòn đảo du lịch cách đường bờ biển 3 km. Hằng ngày, sau giờ làm An di chuyển bằng cáp treo từ đảo về bờ biển tại vị trí gần nhà nhất, sau đó đón xe buýt về nhà cách ga cáp treo 14 km. Một ngày nọ, sự cố cáp treo nên An phải di chuyển bằng thuyền về bờ biển tại bến thuyền rồi xe ô tô về nhà ngay. Biết rằng, từ đảo An về đến nhà là 40 phút, tốc độ của thuyền là 15 km/h và tốc độ của xe ô tô là 30 km/h; bến thuyền nằm trên đường bờ biển và quãng đường từ bến thuyền ngang hướng đường đến ga cáp treo. Giả sử đường bờ biển là một đường thẳng và thuyền di chuyển một đường thẳng. Hãy tính khoảng cách giữa ga cáp treo và bến thuyền.
...........................................................................................
B. Nội dung Đề thi giữa học kì 2 Toán 10 trường THPT Hướng Hóa (Quảng Trị) năm 2024–2025

















C. Chiến lược ôn thi Giữa kì 2 Toán 10 hiệu quả
Qua đề thi Giữa kì 2 Toán 10 trường THPT Hướng Hóa (Quảng Trị) năm 2024–2025 trên, các em đã nắm được cấu trúc cũng như các dạng bài tập có trong đề thi. Cùng tham gia ôn luyện các Đề thi Giữa kì 2 Toán 10 theo cấu trúc mới nhất trên khoahoc.vietjack.com để ôn thi Toán 10 Giữa kì 2 đạt kết quả cao.