Đề thi Giữa kì 2 Toán 8 trường THCS Quế Thuận (Quảng Nam) năm 2024–2025
Khoahoc.vietjack.com cập nhật Đề thi Giữa kì 2 Toán 8 trường THCS Quế Thuận, tỉnh/thành phố Quảng Nam năm 2024 – 2025 sẽ giúp học sinh lớp 8 có thêm tài liệu ôn thi Toán 8 Giữa học kì 2. Mời các bạn đón đọc:
Xem thử Đề thi GK2 Toán 8 KNTTXem thử Đề thi GK2 Toán 8 CTST Xem thử Đề thi GK2 Toán 8 CD
Chỉ từ 150k mua trọn bộ đề thi Toán 8 Giữa kì 2 theo cấu trúc mới bản word có lời giải chi tiết, dễ dàng chỉnh sửa:
A. Tóm tắt nội dung một số câu trong Đề thi Giữa kì 2 Toán 8
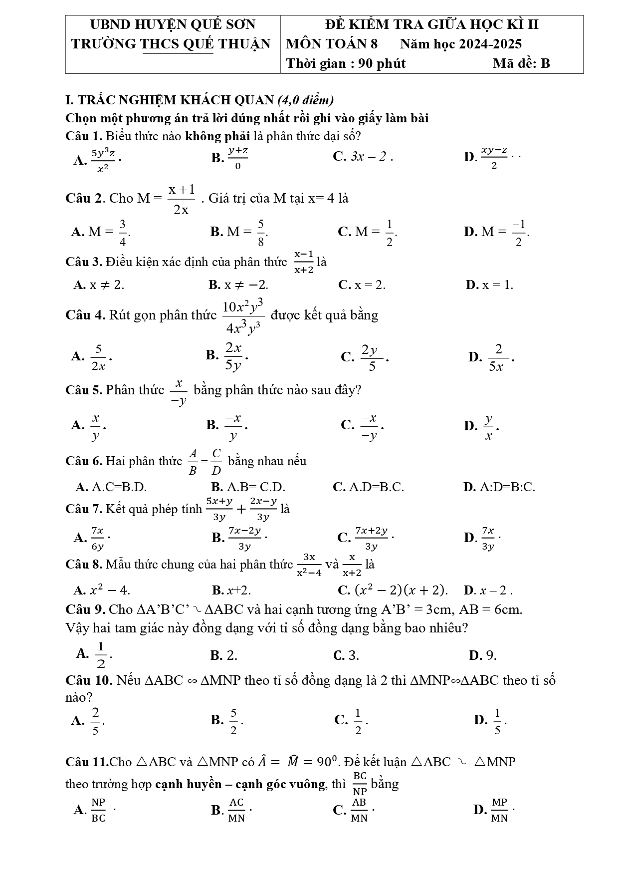
Chọn một phương án trả lời đúng nhất rồi ghi vào giấy làm bài
Câu 15. Bộ ba số đo nào dưới đây là độ dài ba cạnh của một tam giác vuông?
A. 3 cm, 3 cm, 5cm.
B. 2cm, 4cm, 5cm.
C. 9 cm, 12 cm, 13 cm.
D. 6 cm, 8cm, 10cm.
...........................................................................................
Bài 2: (0,5 điểm)
Bạn Nam đi xe đạp trên đoạn đường từ A đến B dài 12 km,
a/ Gọi x (km/h) là vận tốc đi từ A đến B của bạn Nam, hãy viết biểu thức thể hiện thời gian bạn Nam đi từ A đến B.
b/ Lúc về bạn Nam đi từ B về A với tốc độ nhỏ hơn lúc đầu 4km/giờ. Hãy viết biểu thức thể hiện thời gian bạn Nam đi từ B về A .
...........................................................................................
B. Nội dung Đề thi giữa học kì 2 Toán 8 trường THCS Quế Thuận (Quảng Nam) năm 2024–2025












