Đề thi Học kì 2 Toán 10 trường THPT Lê Hồng Phong (Đắk Lắk) năm 2024–2025
Khoahoc.vietjack.com cập nhật Đề thi Học kì 2 Toán 10 trường THPT Lê Hồng Phong, tỉnh/thành phố Đắk Lắk năm 2024 – 2025 sẽ giúp học sinh lớp 10 có thêm tài liệu ôn thi Toán 10 Cuối kì 2. Mời các bạn đón đọc:
Xem thử Đề Toán 10 Cuối kì 2 KNTTXem thử Đề Toán 10 Cuối kì 2 Cánh diều Xem thử Đề Toán 10 Cuối kì 2 CTST
Chỉ từ 150k mua trọn bộ Đề thi Toán 10 Cuối kì 2 (mỗi bộ sách) theo cấu trúc mới bản word có lời giải chi tiết:
A. Tóm tắt nội dung một số câu trong Đề thi Học kì 2 Toán 10
Câu 6: Tung một đồng xu cân đối và đồng chất hai lần liên tiếp. Xác suất để ít nhất một lần xuất hiện mặt sấp là?
A. 0,5.
B. 0,85.
C. 0,75.
D. 0,25.
...........................................................................................
...........................................................................................
Câu 1: Tung một đồng xu cân đối và đồng chất ba lần liên tiếp. Tính xác suất để mặt sấp xuất hiện đúng hai lần? (Kết quả làm tròn đền hàng phần chục).
Câu 3: Gọi S là tập hợp các số tự nhiên có hai chữ số. Chọn ngẫu nhiên đồng thời hai số từ tập hợp S . Tính xác suất để hai số được chọn có chữ số hàng đơn vị giống nhau? (kết quả làm tròn đến hàng phần trăm).
...........................................................................................
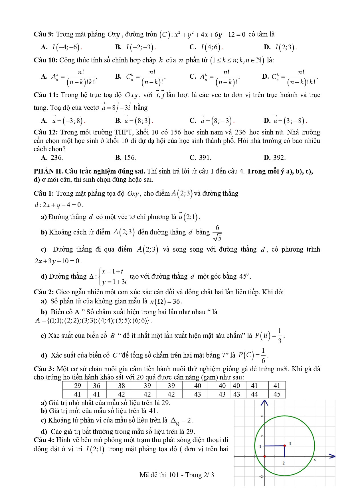
B. Nội dung Đề thi học kì 2 Toán 10 trường THPT Lê Hồng Phong (Đắk Lắk) năm 2024–2025











