Đề thi Học kì 2 Toán 10 trường THPT Hồ Nghinh (Quảng Nam) năm 2024–2025
Khoahoc.vietjack.com cập nhật Đề thi Học kì 2 Toán 10 trường THPT Hồ Nghinh, tỉnh/thành phố Quảng Nam năm 2024 – 2025 sẽ giúp học sinh lớp 10 có thêm tài liệu ôn thi Toán 10 Cuối kì 2. Mời các bạn đón đọc:
Xem thử Đề Toán 10 Cuối kì 2 KNTTXem thử Đề Toán 10 Cuối kì 2 Cánh diều Xem thử Đề Toán 10 Cuối kì 2 CTST
Chỉ từ 150k mua trọn bộ Đề thi Toán 10 Cuối kì 2 (mỗi bộ sách) theo cấu trúc mới bản word có lời giải chi tiết:
A. Tóm tắt nội dung một số câu trong Đề thi Học kì 2 Toán 10
Câu 9. Một lớp có 40 học sinh. Số cách chọn 3 học sinh trực nhật là
A. 59280.
B. 120.
C. 9880.
D. 40.
Câu 11. Tâm đi từ nhà của mình đến nhà Huyền, cùng Huyền đi đến nhà Linh chơi. Biết từ nhà Tâm đến nhà Huyền có 5 con đường đi. Từ nhà Huyền đến nhà Linh có 6 con đường đi. Hỏi có bao nhiêu cách để Tâm đi đến nhà Linh mà phải đi qua nhà Huyền?
A. 12.
B. 30.
C. 11.
D. 35.
...........................................................................................
...........................................................................................
...........................................................................................
Bài 2. Một lớp có 15 học sinh nam và 20 học sinh nữ. Có bao nhiêu cách chọn 5 bạn học sinh sao cho trong đó có đúng 3 học sinh nam?
Bài 3. Trong một giải cờ vua gồm nam và nữ vận động viên. Mỗi vận động viên phải chơi hai ván với mỗi động viên còn lại. Cho biết có 2 vận động viên nữ và cho biết số ván các vận động viên chơi nam chơi với nhau hơn số ván họ chơi với hai vận động viên nữ là 84. Hỏi số ván tất cả các vận động viên đã chơi?
...........................................................................................
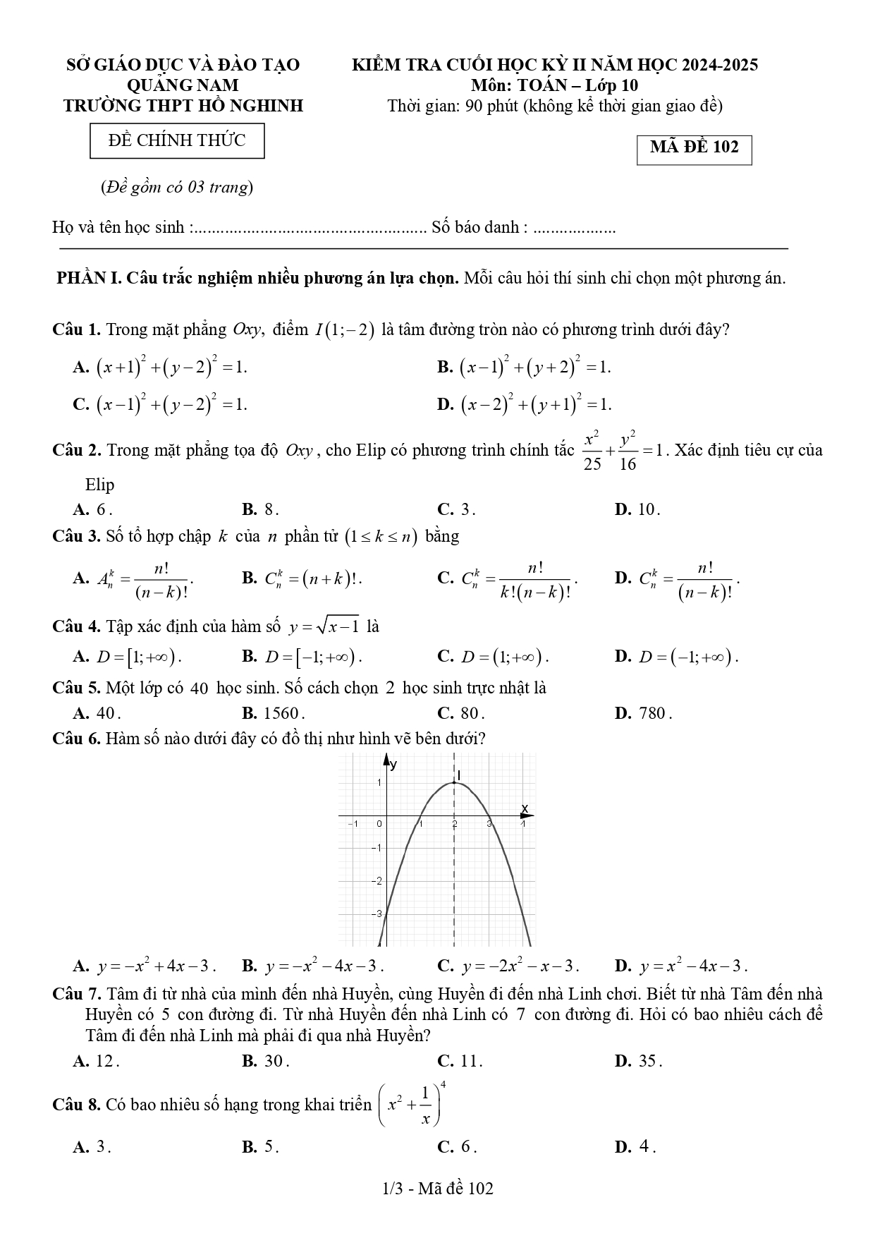
B. Nội dung Đề thi học kì 2 Toán 10 trường THPT Hồ Nghinh (Quảng Nam) năm 2024–2025













