Đề thi Học kì 2 Toán 10 trường THPT Phạm Thành Trung (Tiền Giang) năm 2024–2025
Khoahoc.vietjack.com cập nhật Đề thi Học kì 2 Toán 10 trường THPT Phạm Thành Trung, tỉnh/thành phố Tiền Giang năm 2024 – 2025 sẽ giúp học sinh lớp 10 có thêm tài liệu ôn thi Toán 10 Cuối kì 2. Mời các bạn đón đọc:
Xem thử Đề Toán 10 Cuối kì 2 KNTTXem thử Đề Toán 10 Cuối kì 2 Cánh diều Xem thử Đề Toán 10 Cuối kì 2 CTST
Chỉ từ 150k mua trọn bộ Đề thi Toán 10 Cuối kì 2 (mỗi bộ sách) theo cấu trúc mới bản word có lời giải chi tiết:
A. Tóm tắt nội dung một số câu trong Đề thi Học kì 2 Toán 10
Câu 6: Trên bàn có 8 cây bút chì khác nhau, 6 cây bút bi khác nhau và 10 cuốn tập khác nhau. Một học sinh muốn chọn một đồ vật duy nhất hoặc một cây bút chì hoặc một cây bút bi hoặc một cuốn tập thì số cách chọn khác nhau là
A. 24.
B. 48.
C. 60.
D. 480.
...........................................................................................
...........................................................................................
Câu 4: Từ các số 0;1;2;3;4 có thể lập được bao nhiêu số tự nhiên chẵn có 4 chữ số khác nhau từng đôi một?
...........................................................................................
Câu 4: (0,75 điểm) Cho 15 học sinh gồm 5 học sinh lớp 12, 6 học sinh lớp 11 và 4 học sinh lớp 10. Có bao nhiêu cách chọn 7 học sinh từ 15 học sinh đó sao cho mỗi lớp có ít nhất một người?
...........................................................................................
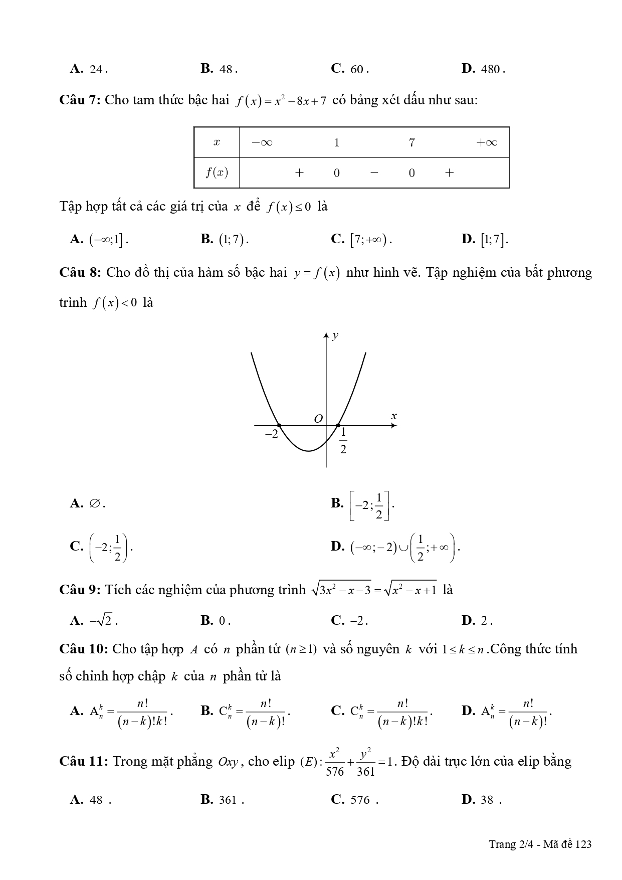
B. Nội dung Đề thi học kì 2 Toán 10 trường THPT Phạm Thành Trung (Tiền Giang) năm 2024–2025





