Đề thi Học kì 2 Toán 10 trường THPT Chế Lan Viên (Quảng Trị) năm 2024–2025
Khoahoc.vietjack.com cập nhật Đề thi Học kì 2 Toán 10 trường THPT Chế Lan Viên, tỉnh/thành phố Quảng Trị năm 2024 – 2025 sẽ giúp học sinh lớp 10 có thêm tài liệu ôn thi Toán 10 Cuối kì 2. Mời các bạn đón đọc:
Xem thử Đề Toán 10 Cuối kì 2 KNTTXem thử Đề Toán 10 Cuối kì 2 Cánh diều Xem thử Đề Toán 10 Cuối kì 2 CTST
Chỉ từ 150k mua trọn bộ Đề thi Toán 10 Cuối kì 2 (mỗi bộ sách) theo cấu trúc mới bản word có lời giải chi tiết:
A. Tóm tắt nội dung một số câu trong Đề thi Học kì 2 Toán 10
Câu 10. Từ các chữ số 1; 2; 3; 4; 5 có thể lập được bao nhiêu số tự nhiên có 5 chữ số khác nhau?
A. 120.
B. 100.
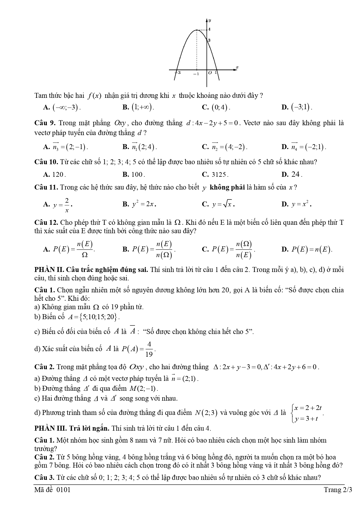
C. 3125.
D. 24.
...........................................................................................
...........................................................................................
Câu 1. Một nhóm học sinh gồm 8 nam và 7 nữ. Hỏi có bao nhiêu cách chọn một học sinh làm nhóm trưởng?
Câu 2. Từ 5 bông hồng vàng, 4 bông hồng trắng và 6 bông hồng đỏ, người ta muốn chọn ra một bó hoa gồm 7 bông. Hỏi có bao nhiêu cách chọn trong đó có ít nhất 3 bông hồng vàng và ít nhất 3 bông hồng đỏ?
Câu 3. Từ các chữ số 0; 1; 2; 3; 4; 5 có thể lập được bao nhiêu số tự nhiên có 3 chữ số khác nhau?
...........................................................................................
Câu 1. Một hộp có 7 viên bi đỏ, 8 viên bi xanh, các viên bi có cùng kích thước và khối lượng. Lấy đồng thời ngẫu nhiên 2 viên bi. Tính xác suất của các biến cố:
A: “Hai viên bi lấy ra màu xanh”.
B: “Hai viên bi lấy ra khác màu”.
...........................................................................................
B. Nội dung Đề thi học kì 2 Toán 10 trường THPT Chế Lan Viên (Quảng Trị) năm 2024–2025





