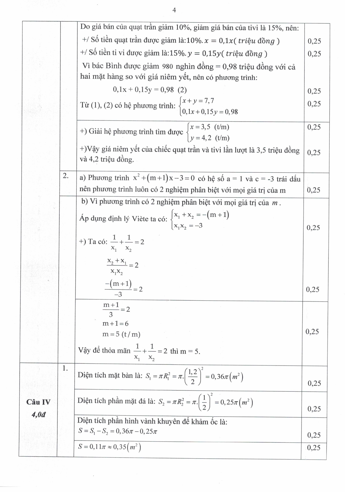
Đề thi Học kì 2 Toán 9 phòng GD&ĐT Hà Đông (Hà Nội) năm 2024–2025
Khoahoc.vietjack.com cập nhật Đề thi Học kì 2 Toán 9 phòng GD&ĐT Hà Đông, tỉnh/thành phố Hà Nội năm 2024 – 2025 sẽ giúp học sinh lớp 9 có thêm tài liệu ôn thi Toán 9 Cuối kì 2. Mời các bạn đón đọc:
Xem thử Đề thi CK2 Toán 9 KNTTXem thử Đề thi CK2 Toán 9 CTST Xem thử Đề thi CK2 Toán 9 CD
Chỉ từ 150k mua trọn bộ đề thi Toán 9 Học kì 2 theo cấu trúc mới bản word có lời giải chi tiết, dễ dàng chỉnh sửa:
A. Tóm tắt nội dung một số câu trong Đề thi Học kì 2 Toán 9
Câu V (0,5 điểm)
Từ một miếng gỗ hình bán nguyệt có đường kính 5dm, người ta muốn cắt lấy một miếng gỗ hình chữ nhật ABCD (như hình bên) sao cho có diện tích lớn nhất. Diện tích lớn nhất có thể của miếng gỗ hình chữ nhật là bao nhiêu?
...........................................................................................
B. Nội dung Đề thi học kì 2 Toán 9 phòng GD&ĐT Hà Đông (Hà Nội) năm 2024–2025





