Đề thi Học kì 2 Toán 11 trường THPT Hoàng Diệu (Đồng Nai) năm 2024–2025
Khoahoc.vietjack.com cập nhật Đề thi Học kì 2 Toán 11 trường THPT Hoàng Diệu, tỉnh Đồng Nai năm 2024 – 2025 sẽ giúp học sinh lớp 11 có thêm tài liệu ôn thi Toán 11 cuối kì 2. Mời các bạn đón đọc:
Xem thử Đề thi CK2 Toán 11 KNTTXem thử Đề thi CK2 Toán 11 CTST Xem thử Đề thi CK2 Toán 11 CD
Chỉ từ 150k mua trọn bộ đề thi Toán 11 Học kì 2 theo cấu trúc mới bản word có lời giải chi tiết, dễ dàng chỉnh sửa:
B1: gửi phí vào tk: 1133836868 - CT TNHH DAU TU VA DV GD VIETJACK - Ngân hàng MB (QR)
B2: Nhắn tin tới Zalo VietJack Official - nhấn vào đây để thông báo và nhận giáo án
A. Tóm tắt nội dung một số câu trong Đề thi Học kì 2 Toán 11
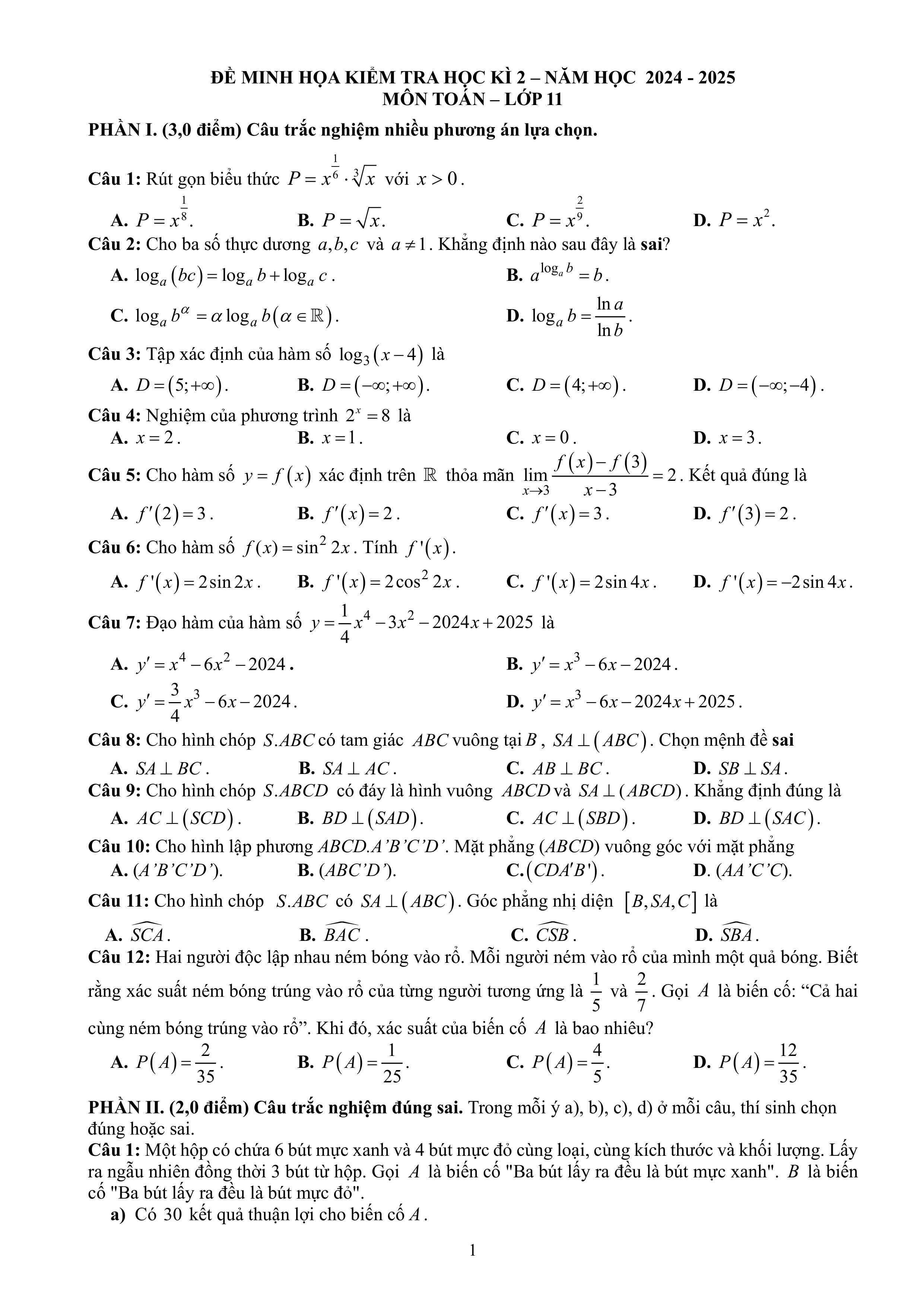
PHẦN I. Câu trắc nghiệm nhiều phương án lựa chọn
Câu 12. Hai người độc lập nhau ném bóng vào rổ. Mỗi người ném vào rổ của mình một quả bóng. Biết rằng xác suất ném bóng trúng vào rổ của từng người tương ứng là 1/5 và 2/7. Gọi A là biến cố "Cả hai cùng ném bóng trúng vào rổ". Khi đó xác suất của biến cố A là bao nhiêu?
...........................................................................................
PHẦN II. Câu trắc nghiệm đúng sai. Trong mỗi ý a), b), c), d) ở mỗi câu, thí sinh chọn đúng hoặc sai
...........................................................................................
PHẦN III. Câu trắc nghiệm trả lời ngắn
...........................................................................................
PHẦN IV. Tự luận
Câu 2. Một hộp đựng 5 viên bi trắng có cùng kích thước và khối lượng. Biết rằng nếu chọn ngẫu nhiên 1 viên bi từ hộp thì xác suất lấy được viên bi xanh là 0,25. Hỏi có bao nhiêu viên bi trắng trong hộp?
...........................................................................................
B. Nội dung Đề thi Học kì 2 Toán 11 trường THPT Hoàng Diệu (Đồng Nai) năm 2024–2025










C. Chiến lược ôn thi Học kì 2 Toán 11 hiệu quả
Qua đề thi Học kì 2 Toán 11 trường THPT Hoàng Diệu (Đồng Nai) năm 2024–2025 trên, các em đã nắm được cấu trúc cũng như các dạng bài tập có trong đề thi. Cùng tham gia ôn luyện các Đề thi Học kì 2 Toán 11 theo cấu trúc mới nhất trên khoahoc.vietjack.com để ôn thi Toán 11 cuối kì 2 đạt kết quả cao.