Đề thi Học kì 2 Toán 7 trường THCS Ngọc Lâm (Hà Nội) năm 2024–2025
Khoahoc.vietjack.com cập nhật Đề thi Học kì 2 Toán 7 trường THCS Ngọc Lâm, tỉnh/thành phố Hà Nội năm 2024 – 2025 sẽ giúp học sinh lớp 7 có thêm tài liệu ôn thi Toán 7 Cuối kì 2. Mời các bạn đón đọc:
Xem thử Đề Toán 7 CK2 KNTT Xem thử Đề Toán 7 CK2 CD Xem thử Đề Toán 7 CK2 CTST
Chỉ từ 150k mua trọn bộ Đề thi Toán 7 Cuối kì 2 (mỗi bộ sách) theo cấu trúc mới bản word có lời giải chi tiết:
A. Tóm tắt nội dung một số câu trong Đề thi Học kì 2 Toán 7
Ghi lại chữ cái đứng trước phương án trả lời đúng vào giấy kiểm tra.
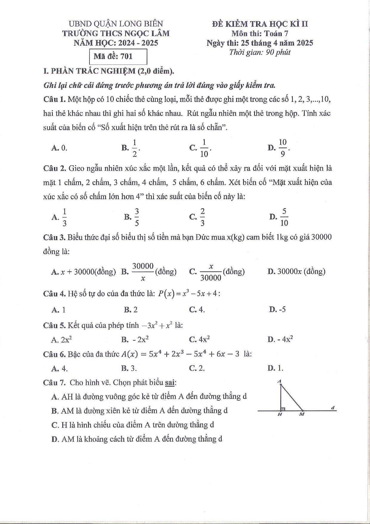
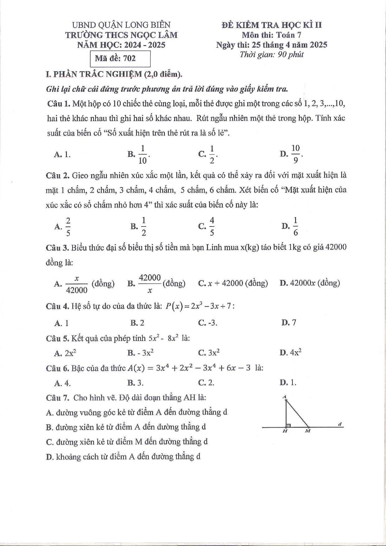
Câu 7. Cho hình vẽ. Chọn phát biểu sai:
A. AH là đường vuông góc kẻ từ điểm A đến đường thẳng d
B. AM là đường xiên kẻ từ điểm A đến đường thẳng d
C. H là hình chiếu của điểm A trên đường thẳng d
D. AM là khoảng cách từ điểm A đến đường thẳng d
...........................................................................................
Bài 1 (1,5 điểm). Bạn Nam dự định mua 2 cốc trà sữa có giá x đồng/cốc và 3 lọ sữa chua có giá 8000 đồng/lọ.
a) Hãy viết biểu thức đại số biểu thị số tiền bạn Nam phải trả khi mua 2 cốc trà sữa và 3 lọ sữa chua.
b) Cửa hàng niêm yết giá 20 000 đồng cho một cốc trà sữa. Hỏi bạn Nam mang theo 60 000 đồng có đủ tiền mua 2 cốc trà sữa và 3 lọ sữa chua không? Vì sao?
Bài 4 (3,0 điểm). Cho tam giác ABC vuông tại A. Trên tia đối của tia BA lấy điểm E sao cho BA = BE, trên tia đối của tia BC lấy điểm M sao cho BC = BM.
a) Chứng minh: tam giác АВС = tam giác ЕВМ
b) Chứng minh: ME song song AC
c) Kẻ MH vuông góc với đường thẳng AC (H thuộc AC), gọi G là giao điểm của MA và HB, gọi I là trung điểm của MH. Chứng minh: C, G, I thẳng hàng.
...........................................................................................
B. Nội dung Đề thi học kì 2 Toán 7 trường THCS Ngọc Lâm (Hà Nội) năm 2024–2025









