Tính bằng cách thuận tiện:
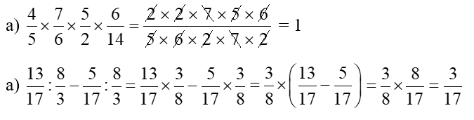
(a) \[\frac{4}{5} \times \frac{7}{6} \times \frac{5}{2} \times \frac{6}{{14}}\]
(b) \[\frac{{13}}{{17}}:\frac{8}{3} - \frac{5}{{17}}:\frac{8}{3}\]
Quảng cáo
Trả lời:

Hot: 1000+ Đề thi giữa kì 1 file word cấu trúc mới 2025 Toán, Văn, Anh... lớp 1-12 (chỉ từ 60k). Tải ngay
CÂU HỎI HOT CÙNG CHỦ ĐỀ
Lời giải
Bài giải
a)
Lớp 5A có số học sinh có cân nặng dưới 35 kg là:
\[35 \times \frac{1}{5} = 7\] (học sinh)
Lớp 5A có số học sinh có cân nặng từ 35 kg đến 40 kg là:
\[35 \times \frac{2}{5} = 14\] (học sinh)
Đáp số: Dưới 35 kg: 7 học sinh
Từ 35 kg đến 40 kg: 14 học sinh
b)
Tổng số học sinh cân nặng dưới 40 kg là:
7 + 14 = 21 (học sinh)
Số học sinh cân nặng trên 40 kg là:
35 – 21 = 14 (học sinh)
Đáp số: 14 học sinh
Lời giải
Bài giải
Số phần diện tích trồng hoa hồng đỏ và hoa hồng vàng là:
\[\frac{1}{2} + \frac{1}{6} = \frac{1}{3}\] (diện tích)
Số phần diện tích trồng hoa hồng trắng là:
\[1 - \frac{1}{3} = \frac{2}{3}\] (diện tích)
Vậy phân số chỉ phần diện tích trồng hoa hồng trắng là: \[\frac{2}{3}\]
Lời giải
Bạn cần đăng ký gói VIP ( giá chỉ từ 199K ) để làm bài, xem đáp án và lời giải chi tiết không giới hạn.
Lời giải
Bạn cần đăng ký gói VIP ( giá chỉ từ 199K ) để làm bài, xem đáp án và lời giải chi tiết không giới hạn.
Lời giải
Bạn cần đăng ký gói VIP ( giá chỉ từ 199K ) để làm bài, xem đáp án và lời giải chi tiết không giới hạn.
Lời giải
Bạn cần đăng ký gói VIP ( giá chỉ từ 199K ) để làm bài, xem đáp án và lời giải chi tiết không giới hạn.

