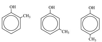
Số chất ứng với công thức phân tử C7H8O (là dẫn xuất của benzene) đều tác dụng được với dung dịch NaOH là
2.
3.
1.
4.
Câu hỏi trong đề: Bài tập ôn tập Hóa 11 Kết nối tri thức Chương 5 có đáp án !!
Quảng cáo
Trả lời:
Đáp án đúng là: B
Có 3 đồng phân thoả mãn là:

Hot: 1000+ Đề thi giữa kì 2 file word cấu trúc mới 2026 Toán, Văn, Anh... lớp 1-12 (chỉ từ 60k). Tải ngay
- Trọng tâm Hóa học 11 dùng cho cả 3 bộ sách Kết nối, Cánh diều, Chân trời sáng tạo VietJack - Sách 2025 ( 58.000₫ )
- Trọng tâm Sử, Địa, GD KTPL 11 cho cả 3 bộ Kết nối, Chân trời, Cánh diều VietJack - Sách 2025 ( 38.000₫ )
- Sách lớp 11 - Trọng tâm Toán, Lý, Hóa, Sử, Địa lớp 11 3 bộ sách KNTT, CTST, CD VietJack ( 52.000₫ )
- Sách lớp 10 - Combo Trọng tâm Toán, Văn, Anh và Lí, Hóa, Sinh cho cả 3 bộ KNTT, CD, CTST VietJack ( 75.000₫ )
CÂU HỎI HOT CÙNG CHỦ ĐỀ
Lời giải
Đáp án đúng là: 7557,6
mtinh bột = 1.75% = 0,75 tấn = 750 kg.

162 gam → 92 gam
750 kg 

Lời giải
a. Đúng. Công thức cấu tạo của ethanol là CH3-CH2-OH.
b. Sai. Công thức phân tử của 2,2,4-trimethylpentane là C8H18.
c. Đúng. Ứng dụng của phản ứng reforming alkane là để sản xuất xăng có chỉ số octane cao.
d. Đúng. Xăng E5 có hiệu suất cháy kém hơn xăng RON 95.
Lời giải
Bạn cần đăng ký gói VIP ( giá chỉ từ 199K ) để làm bài, xem đáp án và lời giải chi tiết không giới hạn.
Lời giải
Bạn cần đăng ký gói VIP ( giá chỉ từ 199K ) để làm bài, xem đáp án và lời giải chi tiết không giới hạn.
Lời giải
Bạn cần đăng ký gói VIP ( giá chỉ từ 199K ) để làm bài, xem đáp án và lời giải chi tiết không giới hạn.
Câu 6
methyl chloride.
trichloromethane.
chloroform.
propyl chloride.
Lời giải
Bạn cần đăng ký gói VIP ( giá chỉ từ 199K ) để làm bài, xem đáp án và lời giải chi tiết không giới hạn.
Lời giải
Bạn cần đăng ký gói VIP ( giá chỉ từ 199K ) để làm bài, xem đáp án và lời giải chi tiết không giới hạn.


Y +2H2O.
C2H5Cl (g)
= 24,7 kJ mol-1