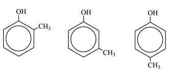
Số chất ứng với công thức phân tử C7H8O (là dẫn xuất của benzene) đều tác dụng được với dung dịch NaOH là
2.
3.
1.
4.
Câu hỏi trong đề: Bài tập ôn tập Hóa 11 Cánh diều Chủ đề 5 có đáp án !!
Quảng cáo
Trả lời:
Đáp án đúng là: B
Có 3 đồng phân thoả mãn là:

Hot: 1000+ Đề thi cuối kì 2 file word cấu trúc mới 2026 Toán, Văn, Anh... lớp 1-12 (chỉ từ 60k). Tải ngay
CÂU HỎI HOT CÙNG CHỦ ĐỀ
Lời giải
(a) Đúng. Công thức cấu tạo của ethanol là CH3-CH2-OH.
(b) Sai. Công thức phân tử của 2,2,4-trimethylpentane là C8H18.
(c) Đúng.Ứng dụng của phản ứng reforming alkane là để sản xuất xăng có chỉ số octane cao.
(d) Đúng.Xăng E5 có hiệu suất cháy kém hơn xăng RON 95.
Lời giải
Gọi công thức đơn giản của X có dạng: 
% Cl = 100% – 51,89% – 9,73% = 38,38 %
⇒ 
⇒ CTPT là
⇒ Công thức cấu tạo của X là 
(a) Sai. Công thức phân tử của X là 
(b) Sai. X là dẫn xuất halogen no nên X không có đồng phân hình học.
(c) Đúng. Tổng số nguyên tử trong phân tử X là 14.
(d) Đúng. Các alkene thu được là:
;
(-cis, -trans)
Lời giải
Bạn cần đăng ký gói VIP ( giá chỉ từ 250K ) để làm bài, xem đáp án và lời giải chi tiết không giới hạn.
Lời giải
Bạn cần đăng ký gói VIP ( giá chỉ từ 250K ) để làm bài, xem đáp án và lời giải chi tiết không giới hạn.
Lời giải
Bạn cần đăng ký gói VIP ( giá chỉ từ 250K ) để làm bài, xem đáp án và lời giải chi tiết không giới hạn.
Lời giải
Bạn cần đăng ký gói VIP ( giá chỉ từ 250K ) để làm bài, xem đáp án và lời giải chi tiết không giới hạn.
Câu 7
3-methylbutan-1-ol.
Isobutyl alcohol.
3,3-dimethylpropan-1-ol.
2-methylbutan-4-ol.
Lời giải
Bạn cần đăng ký gói VIP ( giá chỉ từ 250K ) để làm bài, xem đáp án và lời giải chi tiết không giới hạn.

C2H5Cl (g)
= 24,7 kJ mol-1

