Số chất ứng với công thức phân tử C7H8O (là dẫn xuất của benzene) đều tác dụng được với dung dịch NaOH là
2.
3.
1.
4.
Quảng cáo
Trả lời:
Đáp án đúng là: B
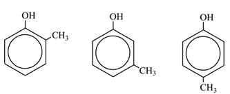
Có 3 đồng phân thoả mãn là:

Hot: 1000+ Đề thi cuối kì 2 file word cấu trúc mới 2026 Toán, Văn, Anh... lớp 1-12 (chỉ từ 60k). Tải ngay
CÂU HỎI HOT CÙNG CHỦ ĐỀ
Lời giải
Gọi công thức đơn giản của X có dạng: 
% Cl = 100% – 51,89% – 9,73% = 38,38 %
⇒ 
⇒ CTPT là
⇒ Công thức cấu tạo của X là 
(a) Sai. Công thức phân tử của X là 
(b) Sai. X là dẫn xuất halogen no nên X không có đồng phân hình học.
(c) Đúng. Tổng số nguyên tử trong phân tử X là 14.
(d) Đúng. Các alkene thu được là:
;
(-cis, -trans)
Lời giải
Bạn cần đăng ký gói VIP ( giá chỉ từ 250K ) để làm bài, xem đáp án và lời giải chi tiết không giới hạn.
Lời giải
Bạn cần đăng ký gói VIP ( giá chỉ từ 250K ) để làm bài, xem đáp án và lời giải chi tiết không giới hạn.
Lời giải
Bạn cần đăng ký gói VIP ( giá chỉ từ 250K ) để làm bài, xem đáp án và lời giải chi tiết không giới hạn.
Lời giải
Bạn cần đăng ký gói VIP ( giá chỉ từ 250K ) để làm bài, xem đáp án và lời giải chi tiết không giới hạn.
Lời giải
Bạn cần đăng ký gói VIP ( giá chỉ từ 250K ) để làm bài, xem đáp án và lời giải chi tiết không giới hạn.





lượng dung dịch đó tác dụng với nước bromine dư sẽ sinh ra 16,55 gam kết tủa trắng. Phần trăm số mol của phenol trong dung dịch ban đầu bằng bao nhiêu? (Kết quả làm tròn đến hàng phần trăm)