Sodium fluoride (NaF) là thành phần hoạt chất phổ biến nhất trong kem đánh răng để ngăn ngừa sâu răng, hình thành men răng.
(a) Trong phân tử NaF, các nguyên tử Na và F đều đã đạt cấu hình bền của khí hiếm gần nhất.
(b) NaF là hợp chất cộng hóa trị phân cực.
(c) Khi hình thành liên kết trong phân tử NaF, nguyên tử Na có xu hướng nhường 1 electron, nguyên tử F có xu hướng nhận 1 electron.
(d) Nguyên tử Na có 2 electron hóa trị, nguyên tử F có 5 electron hóa trị.
Quảng cáo
Trả lời:
(a) Đúng.
(b) Sai. NaF là hợp chất ion do liên kết trong phân tử NaF được hình thành giữa kim loại mạnh và phi kim mạnh.
(c) Đúng.
(d) Sai. Nguyên tử Na (thuộc nhóm IA) có 1 electron hóa trị, nguyên tử F (thuộc nhóm VIIA) có 7 electron hóa trị.
Hot: 1000+ Đề thi cuối kì 1 file word cấu trúc mới 2025 Toán, Văn, Anh... lớp 1-12 (chỉ từ 60k). Tải ngay
- Trọng tâm Toán, Văn, Anh 10 cho cả 3 bộ KNTT, CTST, CD VietJack - Sách 2025 ( 13.600₫ )
- Trọng tâm Lí, Hóa, Sinh 10 cho cả 3 bộ KNTT, CTST và CD VietJack - Sách 2025 ( 40.000₫ )
- Sách lớp 10 - Combo Trọng tâm Toán, Văn, Anh và Lí, Hóa, Sinh cho cả 3 bộ KNTT, CD, CTST VietJack ( 75.000₫ )
- Sách lớp 11 - Trọng tâm Toán, Lý, Hóa, Sử, Địa lớp 11 3 bộ sách KNTT, CTST, CD VietJack ( 52.000₫ )
CÂU HỎI HOT CÙNG CHỦ ĐỀ
Lời giải
Đáp án đúng là: 3
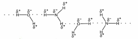
Các phân tử có thể tạo liên kết hydrogen với phân tử nước là: H2O, NH3, HF.

Liên kết hydrogen giữa các phân tử nước

Liên kết hydrogen giữa NH3 và nước

Liên kết hydrogen giữa HF và nước
Lời giải
Nguyên tử hydrogen (H) có cấu hình electron 1s1, chlorine (Cl) có cấu hình electron [Ne]3s23p5.
Nguyên tử hydrogen liên kết với nguyên tử chlorine bằng cách mỗi nguyên tử góp 1 electron tạo thành 1 cặp electron dùng chung trong phân tử HCl. Khi đó nguyên tử hydrogen có 2 electron (cấu hình bền vững của nguyên tử khí hiếm helium) và nguyên tử chlorine có 8 electron ở lớp ngoài cùng, thỏa mãn quy tắc octet.

Liên kết trong phân tử HCl có cặp electron dùng chung lệch về phía nguyên tử có độ âm điện lớn hơn (Cl) được gọi là liên kết cộng hóa trị phân cực.
Lời giải
Bạn cần đăng ký gói VIP ( giá chỉ từ 199K ) để làm bài, xem đáp án và lời giải chi tiết không giới hạn.
Câu 4
điện tích hạt nhân nguyên tử của nguyên tố đó
số đơn vị điện tích hạt nhân nguyên tử của nguyên tố đó
tổng số proton và neutron trong nguyên tử của nguyên tố đó
tổng số proton và electron trong nguyên tử của nguyên tố đó
Lời giải
Bạn cần đăng ký gói VIP ( giá chỉ từ 199K ) để làm bài, xem đáp án và lời giải chi tiết không giới hạn.
Lời giải
Bạn cần đăng ký gói VIP ( giá chỉ từ 199K ) để làm bài, xem đáp án và lời giải chi tiết không giới hạn.
Câu 6
Nhường 5 electron.
Nhận 3 electron.
Nhường 3 electron.
Nhận 5 electron.
Lời giải
Bạn cần đăng ký gói VIP ( giá chỉ từ 199K ) để làm bài, xem đáp án và lời giải chi tiết không giới hạn.