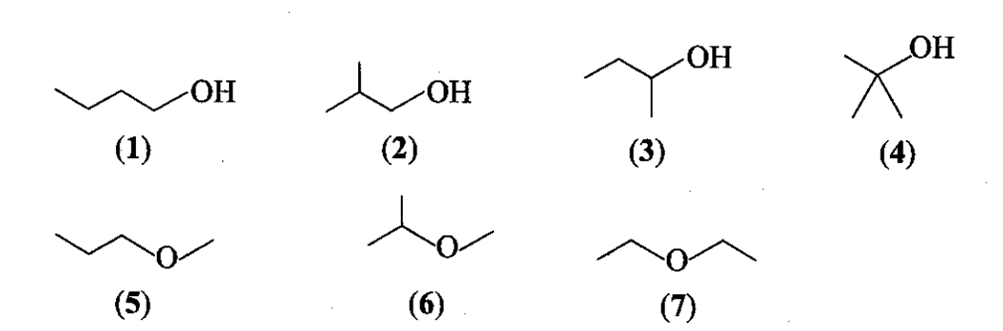
Viết công thức cấu tạo của các hợp chất hữu cơ mạch hở có công thức phân tử C4H10O. Trong các hợp chất này, hãy chỉ ra:
(a) Các chất là đồng phân về nhóm chức.
(b) Các chất là đồng phân về vị trí nhóm chức.
(c) Các chất là đồng phân về mạch carbon.
Quảng cáo
Trả lời:
Công thức cấu tạo của các hợp chất hữu cơ mạch hở có công thức phân tử C4H10O:

(a) Các chất là đồng phân nhóm chức alcohol: (1), (2), (3) và (4); các chất là đồng phân nhóm chức ether: (5), (6) và (7).
(b) Các chất là đồng phân vị trí nhóm chức: (1) và (3); (5) và (7).
(c) Các chất là đồng phân mạch carbon: (1) và (2); (5) và (6).
Hot: 1000+ Đề thi cuối kì 1 file word cấu trúc mới 2025 Toán, Văn, Anh... lớp 1-12 (chỉ từ 60k). Tải ngay
- Trọng tâm Hóa học 11 dùng cho cả 3 bộ sách Kết nối, Cánh diều, Chân trời sáng tạo VietJack - Sách 2025 ( 58.000₫ )
- Sách - Sổ tay kiến thức trọng tâm Vật lí 11 VietJack - Sách 2025 theo chương trình mới cho 2k8 ( 45.000₫ )
- Sách lớp 11 - Trọng tâm Toán, Lý, Hóa, Sử, Địa lớp 11 3 bộ sách KNTT, CTST, CD VietJack ( 52.000₫ )
- Sách lớp 10 - Combo Trọng tâm Toán, Văn, Anh và Lí, Hóa, Sinh cho cả 3 bộ KNTT, CD, CTST VietJack ( 75.000₫ )
CÂU HỎI HOT CÙNG CHỦ ĐỀ
Câu 1
A. Phổ khối lượng ở hình (a) tương ứng với phân tử aniline.
C. Phổ khối lượng ở hình (b) tương ứng với phân tử 2-aminopyridine.
Lời giải
Đáp án đúng là: D
Do hợp chất A có phân tử khối là 93, hợp chất B có phân tử khối là 94.
Lời giải
(a) Đúng.
(b) Sai. Tăng áp suất của hệ, cân bằng chuyển dịch theo chiều giảm số mol khí tức chiều thuận.
(c) Đúng.
(d) Sai. Ta có:
2SO2 + O2 → 2SO3
Ban đầu: 1 10 0
Phản ứng: x 0,5x x
Cân bằng: 1 – x 10 – 0,5x x
Vậy H khoảng 64,5%.
Câu 3
Chiết lỏng – lỏng.
Chiết lỏng – rắn
Phương pháp kết tinh.
Sắc kí cột.
Lời giải
Bạn cần đăng ký gói VIP ( giá chỉ từ 199K ) để làm bài, xem đáp án và lời giải chi tiết không giới hạn.
Lời giải
Bạn cần đăng ký gói VIP ( giá chỉ từ 199K ) để làm bài, xem đáp án và lời giải chi tiết không giới hạn.
Câu 5
C2H3O.
C20H30O.
C4H6O.
C4H6O2.
Lời giải
Bạn cần đăng ký gói VIP ( giá chỉ từ 199K ) để làm bài, xem đáp án và lời giải chi tiết không giới hạn.
Lời giải
Bạn cần đăng ký gói VIP ( giá chỉ từ 199K ) để làm bài, xem đáp án và lời giải chi tiết không giới hạn.

