Tính các giới hạn sau:
a) \(\mathop {\lim }\limits_{x \to + \infty } \frac{{4{x^2} - 2x + 1}}{{ - 2 + x + 2{x^2}}}\) b) . 
Tính các giới hạn sau:
a) \(\mathop {\lim }\limits_{x \to + \infty } \frac{{4{x^2} - 2x + 1}}{{ - 2 + x + 2{x^2}}}\) b) . 
Quảng cáo
Trả lời:
a) \(\mathop {\lim }\limits_{x \to + \infty } \frac{{4{x^2} - 2x + 1}}{{ - 2 + x + 2{x^2}}} = \mathop {\lim }\limits_{x \to + \infty } \frac{{4 - \frac{2}{x} + \frac{1}{{{x^2}}}}}{{ - \frac{2}{{{x^2}}} + \frac{1}{x} + 2}} = \frac{4}{2} = 2.\)
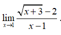
b) . 
\[\begin{array}{l}\mathop {\lim }\limits_{x \to 1} \frac{{\sqrt {x + 3} - 2}}{{x - 1}} = \mathop {\lim }\limits_{x \to 1} \frac{{x + 3 - 4}}{{(x - 1)\left( {\sqrt {x + 3} + 2} \right)}}\\ = \mathop {\lim }\limits_{x \to 1} \frac{{x - 1}}{{(x - 1)\left( {\sqrt {x + 3} + 2} \right)}}\end{array}\]
\[ = \mathop {\lim }\limits_{x \to 1} \frac{1}{{\sqrt {x + 3} + 2}} = \frac{1}{4}\]
Hot: 1000+ Đề thi cuối kì 1 file word cấu trúc mới 2025 Toán, Văn, Anh... lớp 1-12 (chỉ từ 60k). Tải ngay
- Sách - Sổ tay kiến thức trọng tâm Vật lí 11 VietJack - Sách 2025 theo chương trình mới cho 2k8 ( 45.000₫ )
- Trọng tâm Hóa học 11 dùng cho cả 3 bộ sách Kết nối, Cánh diều, Chân trời sáng tạo VietJack - Sách 2025 ( 58.000₫ )
- Sách lớp 11 - Trọng tâm Toán, Lý, Hóa, Sử, Địa lớp 11 3 bộ sách KNTT, CTST, CD VietJack ( 52.000₫ )
- Sách lớp 10 - Combo Trọng tâm Toán, Văn, Anh và Lí, Hóa, Sinh cho cả 3 bộ KNTT, CD, CTST VietJack ( 75.000₫ )
CÂU HỎI HOT CÙNG CHỦ ĐỀ
Câu 2
Lời giải
Chọn A
\[\mathop {\lim }\limits_{n \to + \infty } \frac{{{2^n} + {5^n}}}{{{{3.2}^n} + {{4.5}^n}}} = \mathop {\lim }\limits_{n \to + \infty } \frac{{{{\left( {\frac{2}{5}} \right)}^n} + 1}}{{3.{{\left( {\frac{2}{5}} \right)}^n} + 4}} = \frac{1}{4}\]
Câu 3
D. Mặt phẳng \(\left( {ACD} \right)\).
Lời giải
Bạn cần đăng ký gói VIP ( giá chỉ từ 199K ) để làm bài, xem đáp án và lời giải chi tiết không giới hạn.
Câu 4
Khảo sát thời gian tập thể dục trong ngày của một số học sinh lớp 11 thu được mẫu số liệu ghép nhóm như sau
|
Thời gian (phút) |
\(\left[ {0;20} \right)\) |
\(\left[ {20;40} \right)\) |
\(\left[ {40;60} \right)\) |
\(\left[ {60;80} \right)\) |
\(\left[ {80;100} \right)\) |
|
Số học sinh |
5 |
9 |
12 |
10 |
6 |
Giá trị đại diện của nhóm \(\left[ {20;40} \right)\) là
Lời giải
Bạn cần đăng ký gói VIP ( giá chỉ từ 199K ) để làm bài, xem đáp án và lời giải chi tiết không giới hạn.
Câu 5
Lời giải
Bạn cần đăng ký gói VIP ( giá chỉ từ 199K ) để làm bài, xem đáp án và lời giải chi tiết không giới hạn.
Câu 6
Lời giải
Bạn cần đăng ký gói VIP ( giá chỉ từ 199K ) để làm bài, xem đáp án và lời giải chi tiết không giới hạn.
Câu 7
Lời giải
Bạn cần đăng ký gói VIP ( giá chỉ từ 199K ) để làm bài, xem đáp án và lời giải chi tiết không giới hạn.


