Cho hàm số \(y = f(x)\) liên tục trên \(\mathbb{R}\). Biết rằng hàm số \(y = {f^\prime }(x)\) có đồ thị như hình vẽ. Hàm số \(y = f\left( {{x^2} - 5} \right)\) nghịch biến trên khoảng nào sau đây ?

Quảng cáo
Trả lời:
Đáp án đúng là C
Lập bảng xét dấu \({y^\prime }\) của hàm số \(y = f\left( {{x^2} - 5} \right)\)
Lời giải
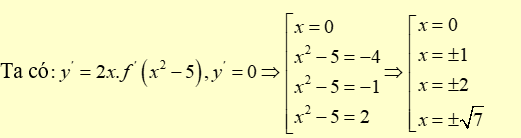
Xét hàm số \(y = f\left( {{x^2} - 5} \right)\)

Các nghiệm của phương trình \({y^\prime } = 0\) đều là nghiệm bội lẻ, do \({y^\prime }(3) = 6.{f^\prime }(4) > 0\), ta có bảng xét dấu \({y^\prime }\):

Từ bảng xét dấu ta có hàm số nghịch biến trên các khoảng: \(( - \infty ;\sqrt 7 ),( - 2; - 1),(0;1),(2;\sqrt 7 )\)
Hot: 1000+ Đề thi cuối kì 1 file word cấu trúc mới 2025 Toán, Văn, Anh... lớp 1-12 (chỉ từ 60k). Tải ngay
- Tuyển tập 15 đề thi Đánh giá tư duy Đại học Bách Khoa Hà Nội 2025 (Tập 1) ( 39.000₫ )
- Tuyển tập 30 đề thi đánh giá năng lực Đại học Quốc gia Hà Nội 2025 (Tập 1) ( 39.000₫ )
- Tuyển tập 30 đề thi đánh giá năng lực Đại học Quốc gia TP Hồ Chí Minh (2 cuốn) ( 140.000₫ )
- Tuyển tập 30 đề thi đánh giá năng lực Đại học Quốc gia Hà Nội, TP Hồ Chí Minh (2 cuốn) ( 150.000₫ )
CÂU HỎI HOT CÙNG CHỦ ĐỀ
Câu 1
Lời giải
Đáp án đúng là D
Phương pháp giải
Sử dụng công thức tính tính thể tích: V = hS
Xác định các thông số trạng thái.
Áp dụng công thức định luật Boyle.
Lời giải
Xét trạng thái 1: \(\left\{ {\begin{array}{*{20}{l}}{{p_1}}\\{{V_1} = {h_1}S}\end{array}} \right.\)
Xét trạng thái 2: \(\left\{ {\begin{array}{*{20}{l}}{{p_2} = 3{p_1}}\\{{V_2} = {h_2}S}\end{array}} \right.\)
Quá trình đẳng nhiệt diễn ra nên ta có: \({p_1}{V_1} = {p_2}{V_2}\)
\(\begin{array}{l} \Rightarrow {p_1}{h_1}S = 3{p_1}{h_2}S\\ \Rightarrow {h_1} = 2{h_2}\\ \Rightarrow {h_2} = \frac{{{h_1}}}{3} = 5\;{\rm{cm}}\end{array}\)
\( \Rightarrow \) pitong dịch sang trái 10 cm.
Câu 2
Lời giải
Đáp án đúng là D
Phương pháp giải
Nhận xét bảng số liệu, kết hợp với phần Thiên nhiên nhệt đới ẩm gió mùa.
Lời giải
- Chênh lệch nhiệt độ trung bình năm giữa Cà Mau và Đà Nẵng là 1,4°C do đều nằm ở vùng khí hậu phía Nam là nhận xét đúng. Vùng khí hậu phía Bắc và vùng khí hậu Nam được ngăn cách bởi dãy Bạch Mã. Gió mùa Đông Bắc bị chặn lại tại dãy Bạch Mã nên vùng khí hậu phía Nam không chịu ảnh hưởng của gió mùa Đông Bắc => Cà Mau và Đà Nẵng thuộc vùng khí hậu phía Nam, quanh năm nhiệt độ cao => ít có sự chênh lệch nhiệt độ trung bình năm giữa hai địa điểm này.
- A sai vì nhiệt độ trung bình năm giảm dần từ Nam ra Bắc do càng ra Bắc góc nhập xạ càng nhỏ, miền Bắc chịu ảnh hưởng của gió mùa Đông Bắc,…
- B sai vì biên độ nhiệt năm tăng dần từ Nam ra Bắc.
- C sai vì nhiệt độ trung bình năm của Bãi Cháy không cao, so với Đà Nẵng, Cà Mau là thấp hơn.
Câu 3
Lời giải
Bạn cần đăng ký gói VIP ( giá chỉ từ 199K ) để làm bài, xem đáp án và lời giải chi tiết không giới hạn.
Lời giải
Bạn cần đăng ký gói VIP ( giá chỉ từ 199K ) để làm bài, xem đáp án và lời giải chi tiết không giới hạn.
Câu 5
Lời giải
Bạn cần đăng ký gói VIP ( giá chỉ từ 199K ) để làm bài, xem đáp án và lời giải chi tiết không giới hạn.
Câu 6
Lời giải
Bạn cần đăng ký gói VIP ( giá chỉ từ 199K ) để làm bài, xem đáp án và lời giải chi tiết không giới hạn.
Lời giải
Bạn cần đăng ký gói VIP ( giá chỉ từ 199K ) để làm bài, xem đáp án và lời giải chi tiết không giới hạn.


