Một vật bắt đầu chuyến động \(v\left( t \right) = 2{t^3} - 15{t^2} + 24t + 20\,\,\left( {{\rm{m}}/{\rm{s}}} \right)\). Hỏi trong 5 giây đầu tiên, quãng đường vật đi được cho đến khi đạt vận tốc lớn nhất là bao nhiêu?
Một vật bắt đầu chuyến động \(v\left( t \right) = 2{t^3} - 15{t^2} + 24t + 20\,\,\left( {{\rm{m}}/{\rm{s}}} \right)\). Hỏi trong 5 giây đầu tiên, quãng đường vật đi được cho đến khi đạt vận tốc lớn nhất là bao nhiêu?
Quảng cáo
Trả lời:
Đáp án đúng là D
Phương pháp giải
Lời giải
Xét hàm số \(f\left( t \right) = 2{t^3} - 15{t^2} + 24t + 20\) trên đoạn \(\left[ {0;5} \right]\)
\(f'\left( t \right) = 6{t^2} - 30t + 24;f'\left( t \right) = 0 \Leftrightarrow \left[ {\begin{array}{*{20}{l}}{t = 1}\\{t = 4}\end{array}} \right.\)
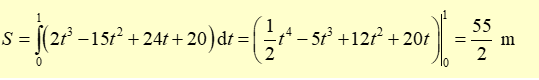
\(f\left( 0 \right) = 20;f\left( 1 \right) = 31;f\left( 4 \right) = 4;f\left( 5 \right) = 15\)
Do đó
Quãng đường đi được từ lúc vật tăng tốc đến khi đạt vận tốc lớn nhất là:

Hot: 1000+ Đề thi giữa kì 2 file word cấu trúc mới 2026 Toán, Văn, Anh... lớp 1-12 (chỉ từ 60k). Tải ngay
- Tuyển tập 15 đề thi Đánh giá tư duy Đại học Bách Khoa Hà Nội 2025 (Tập 1) ( 39.000₫ )
- Tuyển tập 30 đề thi đánh giá năng lực Đại học Quốc gia Hà Nội 2025 (Tập 1) ( 39.000₫ )
- Tuyển tập 30 đề thi đánh giá năng lực Đại học Quốc gia TP Hồ Chí Minh (2 cuốn) ( 140.000₫ )
- Tuyển tập 30 đề thi đánh giá năng lực Đại học Quốc gia Hà Nội, TP Hồ Chí Minh (2 cuốn) ( 150.000₫ )
CÂU HỎI HOT CÙNG CHỦ ĐỀ
Câu 1
Lời giải
Đáp án đúng là C
Phương pháp giải
Xem lại các cơ chế vận chuyển trong sinh học
Lời giải
- Khi nhai cơm lâu sẽ cảm thấy ngọt: Đây là hiện tượng hóa học do enzym trong nước bọt phá vỡ tinh bột thành đường, không liên quan đến cơ chế vận chuyển thụ động.
- Nước sẽ vận chuyển từ nơi có nồng độ thấp đến nơi có nồng độ cao: Đây là ví dụ của sự khuếch tán (diffusion), một cơ chế vận chuyển chủ động,.
- O2 Từ phế nang vào mao mạch phổi: Đây là quá trình khuếch tán khí oxy từ phế nang vào máu trong mao mạch phổi, cũng là một ví dụ của vận chuyển thụ động, vì oxy di chuyển theo gradient nồng độ mà không cần năng lượng.
- Tim bơm máu đi khắp cơ thể: Đây là quá trình vận chuyển chủ động, sử dụng năng lượng (do tim co bóp và bơm máu), không phải vận chuyển thụ động.
Câu 2
Lời giải
Đáp án đúng là A
Phương pháp giải
Xem lại lý thuyết di truyền liên kết giới tính.
Lời giải
Cá thể đực chỉ nhận allele từ mẹ, cá thể cái chỉ nhận allele từ bố → Sai vì cá thể đực và cái nhận 1 allele từ bố và 1 allele từ mẹ.
Câu 3
Lời giải
Bạn cần đăng ký gói VIP ( giá chỉ từ 199K ) để làm bài, xem đáp án và lời giải chi tiết không giới hạn.
Câu 4
B. Giúp cơ thể tiếp nhận và tích lũy các chất cần thiết từ môi trường ngoài.
Lời giải
Bạn cần đăng ký gói VIP ( giá chỉ từ 199K ) để làm bài, xem đáp án và lời giải chi tiết không giới hạn.
Câu 5
Lời giải
Bạn cần đăng ký gói VIP ( giá chỉ từ 199K ) để làm bài, xem đáp án và lời giải chi tiết không giới hạn.
Câu 6
Lời giải
Bạn cần đăng ký gói VIP ( giá chỉ từ 199K ) để làm bài, xem đáp án và lời giải chi tiết không giới hạn.
Câu 7
Lời giải
Bạn cần đăng ký gói VIP ( giá chỉ từ 199K ) để làm bài, xem đáp án và lời giải chi tiết không giới hạn.

