Nghệ thuật làm gốm có lịch sử phát triển lâu đời mà vẫn tồn tại cho đến ngày nay. Giả sử một bình gốm có mặt trong của bình là một mặt tròn xoay sinh ra khi cho phần đồ thị của hàm số \(y = \frac{1}{{175}}{x^2} + \frac{3}{{35}}x + 5\left( {0 \le x \le 30} \right),(x,y\) đơn vị: cm\()\) quay tròn quanh bệ gốm có trục tung với trục hoành \(Ox\). Hỏi để hoàn thành bình gốm đó ta cần sử dụng bao nhiêu \(c{m^3}\) đất sét, biết rằng bình gốm đó có độ dày không đổi là 1 cm?
Nghệ thuật làm gốm có lịch sử phát triển lâu đời mà vẫn tồn tại cho đến ngày nay. Giả sử một bình gốm có mặt trong của bình là một mặt tròn xoay sinh ra khi cho phần đồ thị của hàm số \(y = \frac{1}{{175}}{x^2} + \frac{3}{{35}}x + 5\left( {0 \le x \le 30} \right),(x,y\) đơn vị: cm\()\) quay tròn quanh bệ gốm có trục tung với trục hoành \(Ox\). Hỏi để hoàn thành bình gốm đó ta cần sử dụng bao nhiêu \(c{m^3}\) đất sét, biết rằng bình gốm đó có độ dày không đổi là 1 cm?
Quảng cáo
Trả lời:
Đáp án đúng là B
Phương pháp giải
Ứng dụng thể tích khối tròn xoay
Lời giải
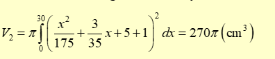
Thể tích phần bên trong của bình gốm là:
\({V_1} = \pi \int\limits_0^{30} {{{\left( {\frac{{{x^2}}}{{175}} + \frac{3}{{35}}x + 5} \right)}^2}dx} = 240\pi \left( {{\rm{c}}{{\rm{m}}^3}} \right)\)
Thể tích bình bao gồm cả độ dày là:

Vậy thể tích đất sét cần dùng để hoàn thành bình gốm là: \(V = 270\pi - 240\pi = 30\pi \left( {{\rm{c}}{{\rm{m}}^3}} \right)\)
Hot: 1000+ Đề thi giữa kì 2 file word cấu trúc mới 2026 Toán, Văn, Anh... lớp 1-12 (chỉ từ 60k). Tải ngay
- Tuyển tập 15 đề thi Đánh giá tư duy Đại học Bách Khoa Hà Nội 2025 (Tập 1) ( 39.000₫ )
- Tuyển tập 30 đề thi đánh giá năng lực Đại học Quốc gia Hà Nội 2025 (Tập 1) ( 39.000₫ )
- Tuyển tập 30 đề thi đánh giá năng lực Đại học Quốc gia TP Hồ Chí Minh (2 cuốn) ( 140.000₫ )
- Tuyển tập 30 đề thi đánh giá năng lực Đại học Quốc gia Hà Nội, TP Hồ Chí Minh (2 cuốn) ( 150.000₫ )
CÂU HỎI HOT CÙNG CHỦ ĐỀ
Lời giải
Đáp án đúng là "1/4 | 0,25"
Phương pháp giải
Vận dụng công thức: \(E = \frac{F}{{|q|}}\)
Định luật Coulomb: \(F = k\frac{{\left| {{q_1}{q_2}} \right|}}{{\varepsilon {r^2}}}\)
Lời giải
Theo định luật Coulomb ta có: \(F = k\frac{{\left| {{q_1}{q_2}} \right|}}{{\varepsilon {r^2}}}\)
mặt khác: \(E = \frac{F}{{|q|}}\)
\( \Rightarrow E = k\frac{{|Q|}}{{\varepsilon .{r^2}}}\)
Giả sử môi ô vuông là 1 đơn vị đo.
Ta có:
\( \Rightarrow {E_1} = k\frac{{|Q|}}{{{\varepsilon _1}.r_1^2}}\)
\( \Rightarrow {E_2} = k\frac{{|Q|}}{{{\varepsilon _2}.r_2^2}}\)
Xét tại điểm \({E_1} = {E_2}\) ứng với \[{r_1} = {r_2}\]
\( \Rightarrow k\frac{{|Q|}}{{{\varepsilon _1}.r_1^2}} = k\frac{{|Q|}}{{{\varepsilon _2}.r_2^2}}\)
\( \Leftrightarrow \frac{1}{{{\varepsilon _1}r_1^2}} = \frac{1}{{{\varepsilon _2}r_2^2}} \Rightarrow \frac{{{\varepsilon _1}}}{{{\varepsilon _2}}} = \frac{{r_2^2}}{{r_1^2}} = 0,25\)
Lời giải
Đáp án đúng là "69/2"
Phương pháp giải
Lập hàm và dùng ứng dụng hàm số để giải bài toán
Lời giải
Gọi giá bán mới là \(x\) triệu đồng với \(x \in \left[ {30;35} \right]\)
Khi đó số xe bán ra là \(400 + \left( {35 - x} \right)100\).
Lợi nhuận thu được là:
\(f\left( x \right) = \left[ {400 + \left( {35 - x} \right)100} \right]\left( {x - 30} \right) = - 100{x^2} + 6900x - 117000 = - 100{\left( {x - \frac{{69}}{2}} \right)^2} + 2025 \le 2025\)
Dấu bằng xảy ra khi \(x = \frac{{69}}{2}\). Vậy giá bán mới \(\frac{{69}}{2}\) triệu đồng thì thu được lợi nhuận cao nhất.
Câu 3
Lời giải
Bạn cần đăng ký gói VIP ( giá chỉ từ 199K ) để làm bài, xem đáp án và lời giải chi tiết không giới hạn.
Lời giải
Bạn cần đăng ký gói VIP ( giá chỉ từ 199K ) để làm bài, xem đáp án và lời giải chi tiết không giới hạn.
Câu 5
Lời giải
Bạn cần đăng ký gói VIP ( giá chỉ từ 199K ) để làm bài, xem đáp án và lời giải chi tiết không giới hạn.
Câu 6
Lời giải
Bạn cần đăng ký gói VIP ( giá chỉ từ 199K ) để làm bài, xem đáp án và lời giải chi tiết không giới hạn.
Lời giải
Bạn cần đăng ký gói VIP ( giá chỉ từ 199K ) để làm bài, xem đáp án và lời giải chi tiết không giới hạn.



