Xét 16 tế bào sinh hạt phấn ở lúa cùng có kiểu gene AB DdEe ab giảm phân bình thường. Biết không xảy ra đột biến, có tối thiểu bao nhiêu loại giao tử được tạo ra?
Câu hỏi trong đề: Đề tham khảo ôn thi HSG Sinh học 12 có đáp án - Đề 2 !!
Quảng cáo
Trả lời:
Hot: 1000+ Đề thi cuối kì 1 file word cấu trúc mới 2025 Toán, Văn, Anh... lớp 1-12 (chỉ từ 60k). Tải ngay
- 550 câu hỏi lí thuyết trọng tâm Sinh học (Form 2025) ( 130.000₫ )
- 20 Bộ đề, Tổng ôn, Chinh phục lý thuyết môn Sinh học (có đáp án chi tiết) ( 70.000₫ )
- Sổ tay lớp 12 các môn Toán, Lí, Hóa, Văn, Sử, Địa, KTPL (chương trình mới) ( 36.000₫ )
- Tuyển tập 30 đề thi đánh giá năng lực Đại học Quốc gia Hà Nội, TP Hồ Chí Minh (2 cuốn) ( 150.000₫ )
CÂU HỎI HOT CÙNG CHỦ ĐỀ
Lời giải
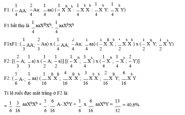
ĐÁP ÁN: 40,6
Quy ước: allele quy định A: giới tính bình thường; allele a gây chuyển đổi giới tính.
Vậy kiểu gene: A-: quy định giới tính bình thường aa: chuyển đổi giới tính ở con cái có XX/ thường

Lời giải
ĐÁP ÁN: 1
Quan sát hình 1 → đột biến điểm làm thay đổi amino acid: Ile → Val Quan sát hình 2 → Ile được mã hóa bởi các codon: AUU, AUC, AUA Val được mã hóa bởi các codon: GUU, GUC, GUA, GUG
→ 1 trường hợp đột biến: (I) thay thế A-T bằng G-C làm thay đổi codon theo 1 trong 3 hướng sau:
Hoặc AUU → GUU. Hoặc AUC → GUC. Hoặc AUA → GUA.
Lời giải
Bạn cần đăng ký gói VIP ( giá chỉ từ 199K ) để làm bài, xem đáp án và lời giải chi tiết không giới hạn.
Lời giải
Bạn cần đăng ký gói VIP ( giá chỉ từ 199K ) để làm bài, xem đáp án và lời giải chi tiết không giới hạn.
Lời giải
Bạn cần đăng ký gói VIP ( giá chỉ từ 199K ) để làm bài, xem đáp án và lời giải chi tiết không giới hạn.
Lời giải
Bạn cần đăng ký gói VIP ( giá chỉ từ 199K ) để làm bài, xem đáp án và lời giải chi tiết không giới hạn.
Câu 7
Lời giải
Bạn cần đăng ký gói VIP ( giá chỉ từ 199K ) để làm bài, xem đáp án và lời giải chi tiết không giới hạn.
