Biết giới hạn
. Giá trị của biểu thức \(P = ab\) bằng:
A. 120. B. 231. C. 1952. D. 66.
Biết giới hạn
. Giá trị của biểu thức \(P = ab\) bằng:
A. 120. B. 231. C. 1952. D. 66.
Quảng cáo
Trả lời:
Đáp án đúng là C
Phương pháp giải
Sử dụng phương pháp liên hợp
Lời giải
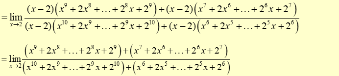
Có:


\( = \frac{{{{10.2}^9} + {{8.2}^7}}}{{{{11.2}^{10}} + {{7.2}^6}}} = \frac{{32}}{{61}}\)
Khi đó, \(P = ab = 32.61 = 1952\).
Hot: 1000+ Đề thi cuối kì 2 file word cấu trúc mới 2026 Toán, Văn, Anh... lớp 1-12 (chỉ từ 60k). Tải ngay
CÂU HỎI HOT CÙNG CHỦ ĐỀ
Lời giải
Đáp án đúng là "8/11"
Phương pháp giải
Vận dụng công thức Bernoulli, công thức Bayes.
Lời giải
Gọi A là biến cố "Chai rượu đó là chai rượu loại A", B là biến cố "Chai rượu đó là chai rượu loại B". Dễ thấy \(A = \overline B \).
Gọi \(H\) là biến cố "3 người kết luận đó là loại rượu A, 2 người kết luận đó là loại rượu B".
Xác suất cần tính là \(P\left( {A\mid H} \right)\).
Có \(P\left( A \right) = \frac{2}{5} = 0,4;\,\,P\left( B \right) = \frac{3}{5} = 0,6\) do số lượng chai rượu loại A bằng \(\frac{2}{3}\) số chai rượu loại B.
Xác suất \(P\left( {H\mid A} \right)\) chính là xác suất "3 người kết luận đúng, 2 người kết luận sai khi đó là loại rượu A". Khi đó, theo công thức Bernoulli, ta có: \(P\left( {H|A} \right) = C_5^3.0,{8^3}.{(1 - 0,8)^{5 - 3}} = 0,2048\)
Một cách tương tự, ta tính được: \(P\left( {H|B} \right) = C_5^2.0,{8^2}.{(1 - 0,8)^{5 - 2}} = 0,0512\).
Khi đó, theo công thức Bayes, xác suất cần tính là:
\(P\left( {A\mid H} \right) = \frac{{P\left( {AH} \right)}}{{P\left( H \right)}} = \frac{{P\left( {H\mid A} \right)P\left( A \right)}}{{P\left( {H\mid A} \right)P\left( A \right) + P\left( {H\mid B} \right)P\left( B \right)}}\)
\(P\left( {A\mid H} \right) = \frac{{0,2048.0,4}}{{0,2048.0,4 + 0.0512.0,6}} = \frac{8}{{11}}\)
Câu 2
Lời giải
Đáp án đúng là D
Phương pháp giải
Tìm điều kiện để học sinh đạt ít nhất 8 điểm, sau đó vận dụng công thức Bernoulli.
Lời giải
Gọi số câu hỏi mà học sinh đó trả lời đúng là \(x\).
Để học sinh đó đạt được tối thiểu 8 điểm trong bài kiểm tra thì:
\(0,5x - 0,2.\left( {20 - x} \right) \ge 8 \Leftrightarrow x \ge \frac{{120}}{7}\)
\( \Rightarrow \) Học sinh đó cần trả lời đúng ít nhất 18 câu để có thể đạt tối thiểu 8 điểm.
Theo công thức Bernoulli, xác suất để học sinh đó trả lời đúng \(i\) câu là:
\(P\left( {x = i} \right) = C_{20}^i.{(0,25)^i}.{(0,75)^{20 - i}}\)
Khi đó, xác suất để học sinh đó trả lời đúng ít nhất 18 câu là:

Câu 3
Lời giải
Bạn cần đăng ký gói VIP ( giá chỉ từ 250K ) để làm bài, xem đáp án và lời giải chi tiết không giới hạn.
Câu 4
Lời giải
Bạn cần đăng ký gói VIP ( giá chỉ từ 250K ) để làm bài, xem đáp án và lời giải chi tiết không giới hạn.
Câu 5
Lời giải
Bạn cần đăng ký gói VIP ( giá chỉ từ 250K ) để làm bài, xem đáp án và lời giải chi tiết không giới hạn.
Lời giải
Bạn cần đăng ký gói VIP ( giá chỉ từ 250K ) để làm bài, xem đáp án và lời giải chi tiết không giới hạn.
Câu 7
Lời giải
Bạn cần đăng ký gói VIP ( giá chỉ từ 250K ) để làm bài, xem đáp án và lời giải chi tiết không giới hạn.