Trong không gian với hệ toạ độ Oxyz , cho hình lăng trụ tam giác đều ABC.A'B'C'. Gọi M,N lần lượt là trung điểm của BC và B'C'. Cho biết M ( 0;0;0);
, C ( 1;0;0), 
a) Phương trình tham số của đường thẳng AA' là
.
b) 
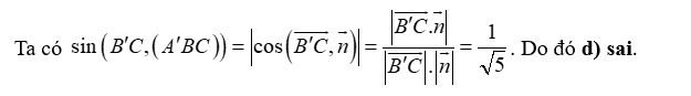
c) Góc giữa hai mặt phẳng (A'BC) và (ABC) bằng 450 .

Quảng cáo
Trả lời:

Hot: 1000+ Đề thi giữa kì 2 file word cấu trúc mới 2026 Toán, Văn, Anh... lớp 1-12 (chỉ từ 60k). Tải ngay
- 20 đề thi tốt nghiệp môn Toán (có đáp án chi tiết) ( 38.500₫ )
- 20 Bộ đề, Tổng ôn, sổ tay môn Toán (có đáp án chi tiết) ( 55.000₫ )
- Sổ tay lớp 12 các môn Toán, Lí, Hóa, Văn, Sử, Địa, KTPL (chương trình mới) ( 36.000₫ )
- Tổng ôn lớp 12 môn Toán, Lí, Hóa, Văn, Anh, Sinh Sử, Địa, KTPL (Form 2025) ( 36.000₫ )
CÂU HỎI HOT CÙNG CHỦ ĐỀ
Câu 2
A. 600
B . 300
C. 1200
D. 1500
Lời giải

Lời giải
Bạn cần đăng ký gói VIP ( giá chỉ từ 199K ) để làm bài, xem đáp án và lời giải chi tiết không giới hạn.
Lời giải
Bạn cần đăng ký gói VIP ( giá chỉ từ 199K ) để làm bài, xem đáp án và lời giải chi tiết không giới hạn.
Lời giải
Bạn cần đăng ký gói VIP ( giá chỉ từ 199K ) để làm bài, xem đáp án và lời giải chi tiết không giới hạn.
Lời giải
Bạn cần đăng ký gói VIP ( giá chỉ từ 199K ) để làm bài, xem đáp án và lời giải chi tiết không giới hạn.
Lời giải
Bạn cần đăng ký gói VIP ( giá chỉ từ 199K ) để làm bài, xem đáp án và lời giải chi tiết không giới hạn.
, đồng thời tạo với đường thẳng
một góc 900. Một véc tơ chỉ phương của đường thẳng d là
. Tính 

. Tính góc tạo bởi (P) với trục Oy.
. Biết điểm M thay đổi trên sao cho
đạt giá trị lớn nhất. Giá trị lớn nhất của
là số thực có dạng
. Tính A = a + b.
. Điểm nào sau đây không thuộc đường thẳng d ?



và
bằng
(trong đó t (h) là thời gian chuyển động).
. Vectơ nào dưới đây là một vectơ chỉ phương của d?

