Câu hỏi trong đề: Đề kiểm tra Bài tập cuối chương 6 (có lời giải) !!
Quảng cáo
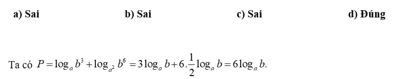
Trả lời:

Hot: 1000+ Đề thi giữa kì 2 file word cấu trúc mới 2026 Toán, Văn, Anh... lớp 1-12 (chỉ từ 60k). Tải ngay
- Sách - Sổ tay kiến thức trọng tâm Vật lí 11 VietJack - Sách 2025 theo chương trình mới cho 2k8 ( 45.000₫ )
- Trọng tâm Hóa học 11 dùng cho cả 3 bộ sách Kết nối, Cánh diều, Chân trời sáng tạo VietJack - Sách 2025 ( 58.000₫ )
- Sách lớp 11 - Trọng tâm Toán, Lý, Hóa, Sử, Địa lớp 11 3 bộ sách KNTT, CTST, CD VietJack ( 52.000₫ )
- Sách lớp 10 - Combo Trọng tâm Toán, Văn, Anh và Lí, Hóa, Sinh cho cả 3 bộ KNTT, CD, CTST VietJack ( 75.000₫ )
CÂU HỎI HOT CÙNG CHỦ ĐỀ
Lời giải
Mỗi kỳ hạn 6 tháng nên 3 năm có 6 kỳ hạn.
Số tiền thu được (cả vốn lẫn lãi) của người đó sau 3 năm:
\[P = 150.{\left( {1 + 5\% .\frac{6}{{12}}} \right)^6} \approx 173,95\] (triệu đồng).
Lời giải
Sau năm thứ nhất giá thuê mặt bằng là: \[850.000.000\left( {1 + 2\% } \right)\] đồng
Sau năm thứ hai giá thuê mặt bằng là:
\[850.000.000\left( {1 + 2\% } \right) + 850.000.000\left( {1 + 2\% } \right).2\% = 850.000.000{\left( {1 + 2\% } \right)^2}\]
….
Đến năm \(2025\) giá thuê mặt bằng là \[850.000.000{\left( {1 + 2\% } \right)^5} \approx 938.469.000\].
Câu 3
Lời giải
Bạn cần đăng ký gói VIP ( giá chỉ từ 199K ) để làm bài, xem đáp án và lời giải chi tiết không giới hạn.
Lời giải
Bạn cần đăng ký gói VIP ( giá chỉ từ 199K ) để làm bài, xem đáp án và lời giải chi tiết không giới hạn.
Câu 5
Lời giải
Bạn cần đăng ký gói VIP ( giá chỉ từ 199K ) để làm bài, xem đáp án và lời giải chi tiết không giới hạn.
Câu 6
Lời giải
Bạn cần đăng ký gói VIP ( giá chỉ từ 199K ) để làm bài, xem đáp án và lời giải chi tiết không giới hạn.
Câu 7
Lời giải
Bạn cần đăng ký gói VIP ( giá chỉ từ 199K ) để làm bài, xem đáp án và lời giải chi tiết không giới hạn.




