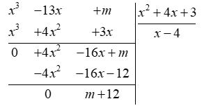
Tìm giá trị của \(m\) để \(\left( {{x^3} - 13x + m} \right)\) chia hết cho \(\left( {{x^2} + 4x + 3} \right)\).
Quảng cáo
Trả lời:
Đáp án:
Đáp án: −12
Ta có:

Để phép chia trên là phép chia hết thì \(m + 12 = 0\) hay \(m = - 12\).
Hot: 1000+ Đề thi cuối kì 2 file word cấu trúc mới 2026 Toán, Văn, Anh... lớp 1-12 (chỉ từ 60k). Tải ngay
CÂU HỎI HOT CÙNG CHỦ ĐỀ
Lời giải
Đáp án:
Đáp án: 20
Chiều dài của mảnh vườn hình chữ nhật đó là: \(x + 4\,\,\,\left( {\rm{m}} \right)\).
Chiều rộng mảnh vườn khi bị cắt bớt 1 m làm đường đi là: \(x - 1\,\,\left( {\rm{m}} \right)\).
Chiều dài mảnh vườn khi bị cắt bớt 2 m làm đường đi là: \(x + 4 - 2 = x + 2\,\,\left( {\rm{m}} \right)\).
Diện tích ban đầu của mảnh vườn là: \(x\left( {x + 4} \right) = {x^2} + 4x\,\,\,\left( {{{\rm{m}}^2}} \right)\)
Diện tích mới của mảnh vườn là \(\left( {x - 1} \right)\left( {x + 2} \right) = {x^2} + x - 2\,\,\left( {{{\rm{m}}^2}} \right)\).
Diện tích làm lối đi là: \({x^2} + 4x - {x^2} - x + 2 = 3x + 2\,\,\left( {{{\rm{m}}^2}} \right)\).
Theo đề, diện tích lối đi là 62 m2 nên ta có: \(3x + 2 = 62\) suy ra \(x = 20\,\,\left( {\rm{m}} \right)\).
Lời giải
Đáp án:
Đáp án: 39
Gọi ba số tự nhiên liên tiếp là \(\left( {n - 1} \right),\,\,n,\,\,\left( {n + 1} \right)\,\,\,\left( {n \in {\mathbb{N}^*}} \right)\).
Do đó, ta có: \(\left( {n + 1} \right)n - n\left( {n - 1} \right) = 26\)
\({n^2} + n - {n^2} + n = 26\)
\(2n = 26\)
\(n = 13\).
Suy ra ba số liên tiếp đó là 12; 13; 14.
Vậy tổng ba số cần tìm là: \(12 + 13 + 14 = 39\).
Lời giải
Bạn cần đăng ký gói VIP ( giá chỉ từ 250K ) để làm bài, xem đáp án và lời giải chi tiết không giới hạn.
Câu 4
A. Diện tích đáy của hình hộp chữ nhật là \(2{x^2} + 7x + 3\,\,\left( {{\rm{c}}{{\rm{m}}^2}} \right)\).
B. Chiều cao của hình hộp chữ nhật là \(x + 2\,\,\left( {{\rm{cm}}} \right).\)
C. Diện tích xung quanh của hình hộp chữ nhật là \(3{x^2} + 10x + 8\,\,\left( {{\rm{c}}{{\rm{m}}^2}} \right).\)
D. Với \(x = 2\,\,\left( {{\rm{cm}}} \right)\) thì diện tích xung quanh của hình hộp chữ nhật lớn hơn 80 cm2.
Lời giải
Bạn cần đăng ký gói VIP ( giá chỉ từ 250K ) để làm bài, xem đáp án và lời giải chi tiết không giới hạn.
Câu 5
A. Số cọc dùng để rào chiều dài là \(x + 20\) (chiếc).
B. Chiều rộng của mảnh vườn là \(0,1\left( {x - 1} \right)\,\,\,{\rm{m}}{\rm{.}}\)
C. Chiều dài của mảnh vườn là \(0,1x + 2\) m.
D. Đa thức biểu diễn diện tích mảnh vườn là \(S = 0,01{x^2} + 0,18x - 0,19\) (m2).
Lời giải
Bạn cần đăng ký gói VIP ( giá chỉ từ 250K ) để làm bài, xem đáp án và lời giải chi tiết không giới hạn.
Câu 6
A. Chiều dài hình hộp chữ nhật là \(30 - 2x\,\,\left( {{\rm{cm}}} \right)\).
B. Chiều rộng của hình hộp chữ nhật là \(20 - 2x\,\,\left( {{\rm{cm}}} \right)\).
C. Đa thức biểu diễn thể tích hình hộp chữ nhật là \(S = 4{x^3} - 20{x^2} + 600x\,\,\left( {{\rm{c}}{{\rm{m}}^3}} \right)\).
D. Thể tích của hình hộp chữ nhật lớn hơn \(36\,\,{\rm{d}}{{\rm{m}}^3}\) khi \(x = 20\,\,\,\left( {{\rm{cm}}} \right)\).
Lời giải
Bạn cần đăng ký gói VIP ( giá chỉ từ 250K ) để làm bài, xem đáp án và lời giải chi tiết không giới hạn.
Câu 7
A. \({x^4} + 3{x^3} + 6{x^2} - 4x - 8.\)
B. \({x^3} + 3{x^2} + x - 2.\)
C. \({x^4} + 3{x^3} + 6{x^2} - 4x + 8.\)
D. \({x^4} + 5{x^3} + 6{x^2} - 4x - 8.\)
Lời giải
Bạn cần đăng ký gói VIP ( giá chỉ từ 250K ) để làm bài, xem đáp án và lời giải chi tiết không giới hạn.
