Cho hàm số $f\left( x \right)=\frac{ax+b}{x+c}$ có giá trị lớn nhất trên đoạn $\left[ 3;4 \right]$ bằng 7 và có đồ thị $y={f}'\left( x \right)$ như hình vẽ.

Quảng cáo
Trả lời:
a) Đúng.
Từ đồ thị hàm số $y={f}'\left( x \right)$ ta thấy đường tiệm cận đứng là $x=2$.
b) Đúng.
Từ đồ thị hàm số ta thấy ${f}'\left( x \right)<0$ với $x\in \left( 2;+\infty \right)$ nên hàm số $f\left( x \right)$ nghịch biến trên khoảng $\left( 2;+\infty \right)$.
c) Sai.
Ta có ${f}'\left( x \right)=\frac{ac-b}{{{\left( x+c \right)}^{2}}}$. TXĐ: $D=\mathbb{R}\backslash \left\{ -c \right\}$.
Vì hàm số $y={f}'\left( x \right)$ có đường tiệm cận đứng là $x=2$ nên $-c=2\Leftrightarrow c=-2$.
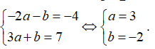
Đồ thị hàm số $y={f}'\left( x \right)$ đi qua điểm $\left( 0;-1 \right)$ nên $\frac{-2a-b}{{{\left( 0-2 \right)}^{2}}}=-1\Leftrightarrow -2a-b=-4$
Từ đồ thị hàm số ta thấy ${f}'\left( x \right)<0,\forall x\in \left( -\infty ;2 \right)\cup \left( 2;+\infty \right)$ nên hàm số $y=f\left( x \right)$ nghịch biến trên khoảng xác định của nó.
Do đó với $x\in \left[ 3;4 \right]$, $\max f\left( x \right)=f\left( 3 \right)=7\Leftrightarrow \frac{3a+b}{3-2}=7\Leftrightarrow 3a+b=7$.
Do đó ta có hệ phương trình: 
Khi đó $3b+2c=3.\left( -2 \right)+2.\left( -2 \right)=-10$
d) Sai.
Ta có $f\left( x \right)=\frac{3x-2}{x-2}$
Vì ${f}'\left( x \right)=\frac{-4}{{{\left( x-2 \right)}^{2}}}<0$ nên $f\left( x \right)$ nghịch biến trên $\left( 3;4 \right)$.
Do đó trên $\left[ 3;4 \right]$, $\min f\left( x \right)=f\left( 4 \right)=5$.
Hot: 1000+ Đề thi giữa kì 2 file word cấu trúc mới 2026 Toán, Văn, Anh... lớp 1-12 (chỉ từ 60k). Tải ngay
- 250+ Công thức giải nhanh môn Toán 12 (chương trình mới) ( 18.000₫ )
- 20 đề thi tốt nghiệp môn Toán (có đáp án chi tiết) ( 38.500₫ )
- Bộ đề thi tốt nghiệp 2025 các môn Toán, Lí, Hóa, Văn, Anh, Sinh, Sử, Địa, KTPL (có đáp án chi tiết) ( 36.000₫ )
- Tổng ôn lớp 12 môn Toán, Lí, Hóa, Văn, Anh, Sinh Sử, Địa, KTPL (Form 2025) ( 36.000₫ )
CÂU HỎI HOT CÙNG CHỦ ĐỀ
Lời giải
Đáp án: 4
Giả sử nguyên liệu được giao sau mỗi $x$ ngày ($x>0$). Để đảm bảo đủ nguyên liệu cho mỗi chu kì sản xuất, doanh nghiệp phải cung cấp $5x$ đơn vị nguyên liệu gỗ cho mỗi lần vận chuyển.
Trong mỗi ngày của chu kì sản xuất, lượng nguyên liệu cần được lưu trữ trung bình là $\frac{5x}{2}$ đơn vị nguyên liệu.
Do đó, chi phí để lưu trữ nguyên liệu trong $x$ ngày của chu kì sản xuất là $200.\frac{5x}{2}.x=500{{x}^{2}}\,$ ngàn đồng.
Từ đây, chi phí cần bỏ ra cho mỗi chu kì sản xuất là $C(x)=8000+500{{x}^{2}}$ ngàn đồng.
Do đó, ta có hàm chi phí trung bình hàng ngày một chu kì sản xuất là
$c(x)=\frac{C(x)}{x}=\frac{8000+500{{x}^{2}}}{x}=\frac{8000}{x}+500x$.


Vậy để chi phí trung bình hàng ngày trong một chu kì sản xuất là ít nhất thì doanh nghiệp nên đặt giao nguyên liệu sau 4 ngày.
Câu 2
Lời giải
a) Chọn 9 ghế từ 12 ghế và sắp xếp 9 bạn vào đó: \[A_{12}^{9}=79.833.600\]. a) Đúng
b) - Coi 9 bạn là một khối thống nhất, khối này cùng với 3 ghế trống tạo thành 4 vị trí để sắp xếp.
- Chọn 1 vị trí trong 4 vị trí để xếp khối đó vào: 4 cách.
- Trong mỗi khối có \[9!\]cách hoán vị 9 bạn.
- Số cách sắp xếp để 9 bạn ngồi cạnh nhau: \[4\times 9!\]
- Xác suất của biến cố: \[P=\frac{4\times 9!}{A_{12}^{9}}=\frac{1}{55}.\] b) Sai
c) - Có \[9!\] cách xếp 9 bạn thành một hàng ngang. Giữa 9 bạn và 2 đầu có tất cả \[9+1=10\] khoảng trống.
- Để không có 2 ghế trống nào cạnh nhau, ta chọn 3 khoảng trống từ 10 khoảng trống để đặt 3 ghế: \[C_{10}^{3}\]cách.
-Số cách xếp để không có hai ghế trống cạnh nhau là: \[9!\times C_{10}^{3}\] cách.
- Xác suất của biến cố: \[P=\frac{9!\times C_{10}^{3}}{A_{12}^{9}}=\frac{6}{11}.\] c) Đúng
d) - Xếp 5 bạn nữ và 3 ghế trống: chọn 3 vị trí cho ghế trống trong 8 chỗ, 5 chỗ còn lại xếp các bạn nữ: \[C_{8}^{3}\times 5!=56\times 120=6.720\] cách.
- Khi đó 8 vị trí (5 nữ và 3 ghế trống) tạo ra 9 khoảng trống. Xếp 4 bạn nam vào 9 khoảng trống có: \[A_{9}^{4}=3.024\] cách.
- Xác suất của biến cố: \[P=\frac{6.720\times 3.024}{79.833.600}=\frac{14}{55}\] d) Đúng
Lời giải
Bạn cần đăng ký gói VIP ( giá chỉ từ 199K ) để làm bài, xem đáp án và lời giải chi tiết không giới hạn.
Câu 4
Lời giải
Bạn cần đăng ký gói VIP ( giá chỉ từ 199K ) để làm bài, xem đáp án và lời giải chi tiết không giới hạn.
Lời giải
Bạn cần đăng ký gói VIP ( giá chỉ từ 199K ) để làm bài, xem đáp án và lời giải chi tiết không giới hạn.
Câu 6
Lời giải
Bạn cần đăng ký gói VIP ( giá chỉ từ 199K ) để làm bài, xem đáp án và lời giải chi tiết không giới hạn.
Lời giải
Bạn cần đăng ký gói VIP ( giá chỉ từ 199K ) để làm bài, xem đáp án và lời giải chi tiết không giới hạn.


