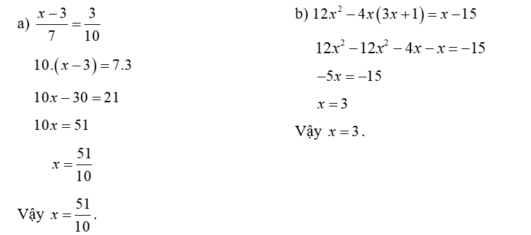
(1,0 điểm) Tìm \(x\), biết:
(a) \(\frac{{x - 3}}{7} = \frac{3}{{10}}\);
(b) \[12{x^2} - 4x\left( {3x + 1} \right) = x - 15\].
Câu hỏi trong đề: Bộ 10 đề thi cuối kì 2 Toán 7 Kết nối tri thức có đáp án !!
Quảng cáo
Trả lời:

Hot: 1000+ Đề thi giữa kì 2 file word cấu trúc mới 2026 Toán, Văn, Anh... lớp 1-12 (chỉ từ 60k). Tải ngay
CÂU HỎI HOT CÙNG CHỦ ĐỀ
Câu 1
A. \(A\) là trọng tâm của tam giác;
B. \(A\) là trực tâm của tam giác;
C. \(A\) cách đều ba đỉnh tam giác;
D. \(A\) cách đều ba cạnh tam giác.
Lời giải
Đáp án đúng là: D
Ba đường phân giác trong của tam giác cắt nhau tại điểm \(A\) thì \(A\) cách đều ba cạnh tam giác.
Câu 2
\(\frac{1}{4}\);
\(\frac{1}{6}\);
\(\frac{1}{9}\);
\(\frac{1}{{12}}\).
Lời giải
Đáp án đúng là: B
Các kết quả có thể xảy ra đối với số xuất hiện trên mặt mỗi con xúc sắc khi Lan gieo là \[A = \left\{ {1;2;3;4;5;6} \right\}\] có \(6\) kết quả.
Các kết quả có thể xảy ra đối với số xuất hiện trên mặt mỗi con xúc sắc khi Ngọc gieo là \[B = \left\{ {1;2;3;4;5;6} \right\}\] có \(6\) kết quả.
Khi cả hai bạn cùng gieo thì số kết quả có thể xảy ra là \(36\) kết quả.
Các lần gieo có hiệu số chấm xuất hiện trên hai con xúc xắc bằng \(3\) là
\(\left( {1;4} \right);\left( {4;1} \right);\left( {2;5} \right);\left( {5;2} \right);\left( {3;6} \right);\left( {6;3} \right)\).
Do đó xác xuất của biến cố “Hiệu số giữa số chấm xuất hiện trên hai con xúc xắc bằng \(3\)” là: \(\frac{6}{{36}} = \frac{1}{6}\).
Câu 3
A. “Số được chọn là số chẵn”;
B. “Số được chọn là số chia hết cho \[10\]”;
C. “Số được chọn là số có một chữ số”;
D. “Số được chọn là số tự nhiên”.
Lời giải
Bạn cần đăng ký gói VIP ( giá chỉ từ 199K ) để làm bài, xem đáp án và lời giải chi tiết không giới hạn.
Lời giải
Bạn cần đăng ký gói VIP ( giá chỉ từ 199K ) để làm bài, xem đáp án và lời giải chi tiết không giới hạn.
Lời giải
Bạn cần đăng ký gói VIP ( giá chỉ từ 199K ) để làm bài, xem đáp án và lời giải chi tiết không giới hạn.
Câu 6
A. \(\widehat M < \widehat P < \widehat N\);
B.\(\widehat N < \widehat P < \widehat M\);
C. \(\widehat P < \widehat N < \widehat M\);
Lời giải
Bạn cần đăng ký gói VIP ( giá chỉ từ 199K ) để làm bài, xem đáp án và lời giải chi tiết không giới hạn.
Câu 7
\(\frac{4}{5}\) và \(\frac{6}{7}\);
\(\frac{6}{7}\) và \(\frac{{12}}{{14}}\);
\(\frac{4}{5}\) và \(\frac{{24}}{{30}}\);
\(\frac{{24}}{{30}}\) và \(\frac{8}{{10}}\) .
Lời giải
Bạn cần đăng ký gói VIP ( giá chỉ từ 199K ) để làm bài, xem đáp án và lời giải chi tiết không giới hạn.