(0,5 điểm) Cho đa thức \(P\left( x \right) = a{x^2} + bx + c\) có \(x = - 2\) là một nghiệm.
Xác định \(a\), \(b\), \(c\) biết số \(a\) lớn hơn số \(c\) năm đơn vị và đa thức \(P\left( x \right)\) chia hết cho \(x - 2\).
Câu hỏi trong đề: Bộ 10 đề thi cuối kì 2 Toán 7 Kết nối tri thức có đáp án !!
Quảng cáo
Trả lời:
• Do số \(a\) lớn hơn số \(c\) năm đơn vị nên ta có \(a = c + 5\).
• Theo đề, ta có \(x = - 2\) là một nghiệm của đa thức \(P\left( x \right)\).
Suy ra \(P\left( { - 2} \right) = 0\).
Do đó \(4a - 2b + c = 0\).
Suy ra \(4a + c = 2b\,\,\,\,\left( 1 \right)\)
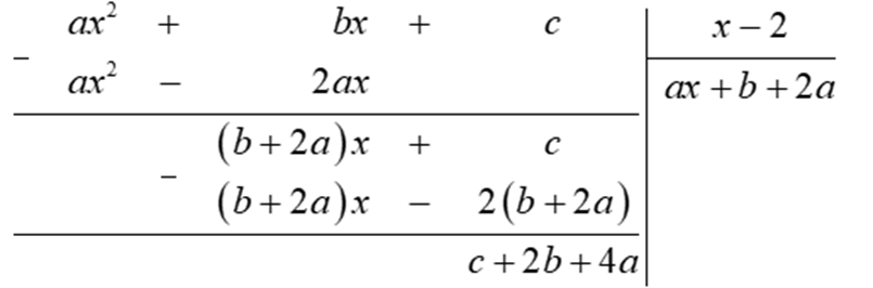
• Ta có đa thức \(P\left( x \right)\) chia hết cho \(x - 2\) \(\left( * \right)\)
Nên \(P\left( x \right) = \left( {x - 2} \right).Q\left( x \right)\) với \(Q\left( x \right)\) là thương của phép chia đa thức \(P\left( x \right)\) cho đa thức \(x - 2\).
Khi đó \(P\left( 2 \right) = \left( {2 - 2} \right).Q\left( 2 \right) = 0\)
Do đó \(4a + 2b + c = 0\).
Suy ra \(4a + c = - 2b\,\,\,\,\left( 2 \right)\)
Từ \(\left( 1 \right),\left( 2 \right)\) suy ra \(2b = - 2b\).
Do đó \(4b = 0\), nên \(b = 0\).
Thế \(b = 0\) và \(a = c + 5\) vào \(\left( 1 \right)\), ta được \(4\left( {c + 5} \right) + c = 0\).
Hay \(4c + 20 + c = 0\).
Suy ra \(5c = - 20\), nên \(c = - 4\).
Với \(a = c + 5\), ta có \(a = - 4 + 5 = 1\).
Vậy \(a = 1\), \(b = 0\), \(c = - 4\) thỏa mãn yêu cầu bài toán.

Khi đó, để \(P\left( x \right)\) chia hết cho \(x - 2\) thì \(c + 2b + 4a = 0\).
Suy ra \(4a + c = - 2b\,\,\,\,\left( 2 \right)\).
Hot: 1000+ Đề thi cuối kì 2 file word cấu trúc mới 2026 Toán, Văn, Anh... lớp 1-12 (chỉ từ 60k). Tải ngay
CÂU HỎI HOT CÙNG CHỦ ĐỀ
Lời giải

a) Xét \(\Delta ABD\) và \(\Delta ACE\), có:
\(\widehat {ADB} = \widehat {AEC} = 90^\circ \);
\[AB = AC\] (do \(\Delta ABC\) cân tại \(A\));
\(\widehat {BAC}\) là góc chung.
Do đó \(\Delta ABD = \Delta ACE\) (cạnh huyền – góc nhọn).
Suy ra \(\widehat {ABD} = \widehat {ACE}\) (cặp góc tương ứng).
b) Ta có \(\widehat {ABD} = \widehat {ACE}\) (câu a)
Lại có \(\widehat {ABC} = \widehat {ACB}\) (do \(\Delta ABC\) cân tại \(A\)).
Do đó \(\widehat {ABC} - \widehat {ABD} = \widehat {ACB} - \widehat {ACE}\) hay \(\widehat {HBC} = \widehat {HCB}\).
\(\Delta BHC\) có \(\widehat {HBC} = \widehat {HCB}\) nên là tam giác cân tại \(H\).
Suy ra \(HB = HC\,\,\,\,\left( 1 \right)\)
Ta có \(\Delta HCD\) vuông tại \(D\) nên cạnh huyền \(HC\) là lớn nhất.
Do đó \(HC > HD\,\,\,\,\left( 2 \right)\).
Từ \(\left( 1 \right)\) và \(\left( 2 \right)\) ta có \(HB > HD\).
c) Gọi \(I\) là giao điểm của \(BP\) và \(CQ\).
Xét \(\Delta BPH\) và \(\Delta CQH\), có:
\(HP = HQ\) (giả thiết);
\(\widehat {BHP} = \widehat {CHQ}\) (hai góc đối đỉnh);
\(HB = HC\) (câu b).
Do đó \(\Delta BPH = \Delta CQH\,\,\left( {{\rm{c}}{\rm{.g}}{\rm{.c}}} \right)\).
Suy ra \(\widehat {HBP} = \widehat {HCQ}\) (cặp góc tương ứng).
Mà \(\widehat {HBC} = \widehat {HCB}\) (câu b).
Suy ra \(\widehat {HBC} + \widehat {HBP} = \widehat {HCB} + \widehat {HCQ}\) hay \(\widehat {IBC} = \widehat {ICB}\).
\(\Delta IBC\) có \(\widehat {IBC} = \widehat {ICB}\) nên là tam giác cân tại \(I\).
Suy ra \(IB = IC\).
Mà \(AB = AC\) (câu a) và \(HB = HC\) (câu b).
Do đó ba điểm \(I\), \(A\), \(H\) cùng nằm trên đường trung trực của đoạn thẳng \(BC\).
Hay \(I\), \(A\), \(H\) thẳng hàng.
Vậy ba đường thẳng \(BP\), \(CQ\), \(AH\) đồng quy.
Lời giải
Gọi \(x\), \(y\), \(z\) lần lượt là số nồi cơm điện chi nhánh thứ nhất, thứ hai và thứ ba bán được.
Do ba chi nhánh cần bán được tất cả 121 chiếc nồi cơm điện nên ta có: \(x + y + z = 121\)
Do số nồi cơm điện bán được tỉ lệ nghịch với số ngày bán được một nồi cơm điện nên ta có: \(x = 2y = 3z\), suy ra \(\frac{x}{1} = \frac{y}{{\frac{1}{2}}} = \frac{z}{{\frac{1}{3}}}\).
Áp dụng tính chất của dãy tỉ số bằng nhau, ta có: \(\frac{x}{1} = \frac{y}{{\frac{1}{2}}} = \frac{z}{{\frac{1}{3}}} = \frac{{x + y + z}}{{1 + \frac{1}{2} + \frac{1}{3}}} = \frac{{121}}{{\frac{{11}}{6}}} = 66\).
Suy ra \(x = 1.66 = 66\); \(y = \frac{1}{2}.66 = 33\); \(z = \frac{1}{3}.66 = 22\).
Vậy chi nhánh thứ nhất, thứ hai, thứ ba lần lượt bán được 66 nồi cơm điện; 33 nồi cơm điện; 22 nồi cơm điện.
Lời giải
Bạn cần đăng ký gói VIP ( giá chỉ từ 250K ) để làm bài, xem đáp án và lời giải chi tiết không giới hạn.
Câu 4
A. \(1\,\,881\,\,{\rm{c}}{{\rm{m}}^2}\);
B. \({\rm{2}}\,\,{\rm{826}}\,\,{\rm{c}}{{\rm{m}}^2}\);
C. \[3\,\,762\,\,{\rm{c}}{{\rm{m}}^2}\];
D. \[14\,\,040\,\,{\rm{c}}{{\rm{m}}^2}\].
Lời giải
Bạn cần đăng ký gói VIP ( giá chỉ từ 250K ) để làm bài, xem đáp án và lời giải chi tiết không giới hạn.
Câu 5
\(\frac{2}{9}\);
\(\frac{8}{9}\);
\(\frac{7}{9}\);
\(\frac{1}{9}\).
Lời giải
Bạn cần đăng ký gói VIP ( giá chỉ từ 250K ) để làm bài, xem đáp án và lời giải chi tiết không giới hạn.
Câu 6
A. \(\frac{1}{a}\);
B. \(\frac{1}{{2a}}\);
C. \(\frac{1}{{a + 1}}\);
D. \(a\).
Lời giải
Bạn cần đăng ký gói VIP ( giá chỉ từ 250K ) để làm bài, xem đáp án và lời giải chi tiết không giới hạn.
Câu 7
0;
\({x^3} - 8y + z\);
\(\sqrt {a - 2b + 1} \);
\(m + 2\).
Lời giải
Bạn cần đăng ký gói VIP ( giá chỉ từ 250K ) để làm bài, xem đáp án và lời giải chi tiết không giới hạn.