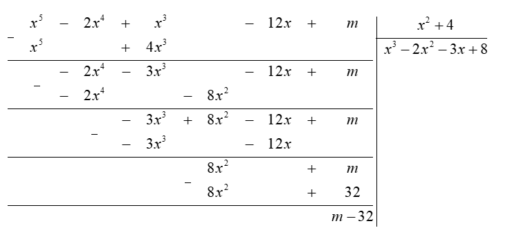
(0,5 điểm) Tìm số \(m\) sao cho đa thức \({x^5} - 2{x^4} + {x^3} - 12x + m\) chia hết cho đa thức \({x^2} + 4\).
Câu hỏi trong đề: Bộ 10 đề thi cuối kì 2 Toán 7 Chân trời sáng tạo có đáp án !!
Quảng cáo
Trả lời:
Ta thực hiện đặt tính chia đa thức như sau:

Để đa thức \({x^5} - 2{x^4} + {x^3} + 12x + m\) chia hết cho đa thức \({x^2} + 4\) thì \(m - 32 = 0\).
Suy ra \(m = 32\).
Vậy \(m = 32\) thỏa mãn yêu cầu bài toán.
Hot: 1000+ Đề thi giữa kì 2 file word cấu trúc mới 2026 Toán, Văn, Anh... lớp 1-12 (chỉ từ 60k). Tải ngay
CÂU HỎI HOT CÙNG CHỦ ĐỀ
Lời giải
a) Biến cố \(B\) là biến cố không thể, vì trong bình không có quả bóng nào màu hồng.
Biến cố \(D\) là biến cố chắc chắn, vì trong bình không có quả bóng nào màu tím nên không thể lấy được quả bóng màu tím.
b) Trong 5 quả bóng, chỉ có một quả bóng màu vàng nên xác suất của biến cố ngẫu nhiên \(A\) là \(\frac{1}{5}\).
Trong 5 quả bóng, chỉ có 1 quả bóng màu đỏ, nên còn lại 4 quả bóng không phải màu đỏ. Do đó xác suất của biến cố ngẫu nhiên \(C\) là \(\frac{4}{5}\).
Lời giải

a) Xét \(\Delta ABC\) có \(AB < AC\) nên \(\widehat C < \widehat B\).
Mà \(\widehat C = 90^\circ - \widehat {HAC}\) và \(\widehat B = 90^\circ - \widehat {BAH}\).
Do đó \[90^\circ - \widehat {HAC} < 90^\circ - \widehat {BAH}\] hay \(\widehat {HAC} > \widehat {BAH}\).
b) Xét \(\Delta ABH\) và \(\Delta ADH\) có:
\(\widehat {AHB} = \widehat {AHD} = 90^\circ \);
\(AH\) là cạnh chung;
\(HB = HD\) (giả thiết).
Do đó \(\Delta ABH = \Delta ADH\) (hai cạnh góc vuông).
Suy ra \(AB = AD\) (hai cạnh tương ứng).
Tam giác \(ABD\) có \(AB = AD\) nên là tam giác cân tại \(A\).
c) Kéo dài \(AH\) và \(CF\) cắt nhau tại \(K\).
Xét \(\Delta AKC\) có \(CH \bot AK,AF \bot CK\), \(CH\) cắt \[AF\] tại \(D\) nên \(D\) là trực tâm của \(\Delta AKC\).
Suy ra \(KD \bot AC\)
Mà \(DE \bot AC\) nên ba điểm \(K,D,E\) thẳng hàng.
Vậy ba đường thẳng \(AH,DE,CF\) đồng quy.
Câu 3
\(\frac{8}{{12}}\) và \(\frac{{12}}{{10}};\)
\(\frac{2}{{14}}\) và \(0,25:1,75\);
\(0,4:\frac{5}{3}\) và \(\frac{3}{5}\);
\(0,25:1,5\) và \(\frac{1}{3}\).
Lời giải
Bạn cần đăng ký gói VIP ( giá chỉ từ 199K ) để làm bài, xem đáp án và lời giải chi tiết không giới hạn.
Lời giải
Bạn cần đăng ký gói VIP ( giá chỉ từ 199K ) để làm bài, xem đáp án và lời giải chi tiết không giới hạn.
Lời giải
Bạn cần đăng ký gói VIP ( giá chỉ từ 199K ) để làm bài, xem đáp án và lời giải chi tiết không giới hạn.
Câu 6
A. Chỉ \(\left( I \right)\) đúng;
B. Chỉ \(\left( {II} \right)\) đúng;
C. Cả \(\left( I \right)\) và \(\left( {II} \right)\) đều đúng;
D. Cả \(\left( I \right)\) và \(\left( {II} \right)\) đều sai.
Lời giải
Bạn cần đăng ký gói VIP ( giá chỉ từ 199K ) để làm bài, xem đáp án và lời giải chi tiết không giới hạn.
Lời giải
Bạn cần đăng ký gói VIP ( giá chỉ từ 199K ) để làm bài, xem đáp án và lời giải chi tiết không giới hạn.