(0,5 điểm) Tìm giá trị nguyên dương của \(x\) để đa thức \({x^3} - 3{x^2} - 3x - 1\) chia hết cho đa thức \({x^2} + x + 1\).
Câu hỏi trong đề: Bộ 10 đề thi cuối kì 2 Toán 7 Chân trời sáng tạo có đáp án !!
Quảng cáo
Trả lời:
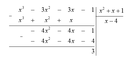
Ta thực hiện đặt tính chia đa thức như sau:

Để đa thức \({x^3} - 3{x^2} - 3x - 1\) chia hết cho đa thức \({x^2} + x + 1\) thì \[3 \vdots \left( {{x^2} + x + 1} \right)\]
Tức là \({x^2} + x + 1 \in \) Ư\(\left( 3 \right) = \left\{ { - 3;3; - 1;1} \right\}\).
Do \[x > 0\] nên \({x^2} + x + 1 > 1\)
Do đó \({x^2} + x + 1 = 3\)
\({x^2} + x - 2 = 0\)
\({x^2} - x + 2x - 2 = 0\)
\(x\left( {x - 1} \right) + 2\left( {x - 1} \right) = 0\)
\(\left( {x - 1} \right)\left( {x + 2} \right) = 0\)
Suy ra \(x = 1\) (thỏa mãn) hoặc \(x = - 2\) (loại).
Vậy \(x = 1\) thì đa thức \({x^3} - 3{x^2} - 3x - 1\) chia hết cho đa thức \({x^2} + x + 1\).
Hot: 1000+ Đề thi giữa kì 2 file word cấu trúc mới 2026 Toán, Văn, Anh... lớp 1-12 (chỉ từ 60k). Tải ngay
CÂU HỎI HOT CÙNG CHỦ ĐỀ
Lời giải

a) Xét \(\Delta ADB\) và \(\Delta AEC\) có:
\(\widehat {ADB} = \widehat {AEC} = 90^\circ \);
\(AB = AC\) (do \(\Delta ABC\) cân tại \(A\));
\(\widehat {BAC}\) là góc chung.
Do đó \(\Delta ADB = \Delta AEC\) (cạnh huyền – góc nhọn).
Suy ra \(AD = AE\) (hai cạnh tương ứng).
Mà \(AB = AC\) (chứng minh trên)
Nên \(AB - AE = AC - AD\) hay \(BE = CD\).
b) Do \(\Delta ADB = \Delta AEC\) (câu a) nên \(\widehat {ABD} = \widehat {ACE}\) (hai góc tương ứng)
Xét \(\Delta BHE\) và \(\Delta CHD\) có:
\(\widehat {BEH} = \widehat {CDH} = 90^\circ \);
\(BE = CD\) (chứng minh câu a);
\(\widehat {EBH} = \widehat {DCH}\)(chứng minh trên).
Do đó \(\Delta BHE = \Delta CHD\) (cạnh góc vuông – góc nhọn kề)
Suy ra \(HB = HC\) (hai cạnh tương ứng)
Tam giác \(HBC\) có \(HB = HC\) nên là tam giác cân tại \(H\).
Xét \(\Delta HDC\) vuông tại \(D\) có \(HC\) là cạnh huyền nên là cạnh có độ dài lớn nhất.
Do đó \(HC > HD\).
Mà \(HB = HC\) (chứng minh trên) nên \(HB > HD.\)
c) Gọi \[P\] là giao điểm của \[HI\] và \[BC\].
\(\Delta HBC\) có hai đường trung tuyến \[BM\] và \[CN\] cắt nhau tại \[I\].
Do đó \[I\] là trọng tâm của \(\Delta HBC\) nên \[HP\] là đường trung tuyến xuất phát từ đỉnh \[H\] của tam giác, hay \(P\) là trung điểm của \(BC\).
Do đó \(P\) nằm trên đường trung trực của đoạn thẳng \(BC\).
Lại có \(HB = HC\) (câu b) nên \(H\) nằm trên đường trung trực của đoạn thẳng \(BC\).
Suy ra \[HP\] là đường trung trực của đoạn thẳng \(BC\).
Suy ra \(HP \bot BC\) hay \(HI \bot BC\,\,\,\,\,\,\,\,\,\,\,\,\,\left( 1 \right)\)
• \(\Delta ABC\) có \[H\] là giao điểm của hai đường cao \[BD\] và \[CE\] nên \[H\] là trực tâm của \(\Delta ABC\).
Do đó \(AH \bot BC\,\,\,\,\,\,\,\,\,\,\,\,\,\left( 2 \right)\)
Từ \(\left( 1 \right)\) và \(\left( 2 \right)\) suy ra ba điểm \(A,H,I\) cùng nằm trên một đường thẳng vuông góc với \[BC\] tại \(P\).
Vậy ba điểm \(A,H,I\) thẳng hàng.
Lời giải
a) Biến cố \(B\) là biến cố chắc chắn, vì tất cả các số được ghi trên các quả bóng đều chia hết cho 5.
Biến cố \(C\) là biến cố không thể, vì tất cả các số được ghi trên các quả bóng đều không chia hết cho 6.
b) Vì 5 quả bóng có kích thước và khối lượng như nhau nên mỗi quả bóng đều có cùng khả năng được chọn.
• Trong 5 quả bóng ghi lần lượt các số \[5;10;15;20;25\], chỉ có 1 quả bóng ghi số nguyên tố là 5. Do đó xác xuất của biến cố \(A\) là \(P\left( A \right) = \frac{1}{5}\).
• Trong 5 quả bóng ghi lần lượt các số \[5;10;15;20;25\], có 2 quả bóng ghi số tròn chục là 10; 20. Do đó xác xuất của biến cố \(D\) là \(P\left( D \right) = \frac{2}{5}\).
Câu 3
\(\frac{4}{5}\) và \(\frac{6}{7}\);
\(\frac{6}{7}\) và \(\frac{{12}}{{14}}\);
\(\frac{4}{5}\) và \(\frac{{24}}{{30}}\);
\(\frac{{24}}{{30}}\) và \(\frac{8}{{10}}\) .
Lời giải
Bạn cần đăng ký gói VIP ( giá chỉ từ 199K ) để làm bài, xem đáp án và lời giải chi tiết không giới hạn.
Lời giải
Bạn cần đăng ký gói VIP ( giá chỉ từ 199K ) để làm bài, xem đáp án và lời giải chi tiết không giới hạn.
Câu 5
\[3\,\,{\rm{cm; }}2\,\,{\rm{cm}};{\rm{ }}9\,\,{\rm{cm}}\];
\[1\,\,{\rm{cm; 5}}\,\,{\rm{cm}};{\rm{ 7}}\,\,{\rm{cm}}\];
\[4\,\,{\rm{cm; 6}}\,\,{\rm{cm}};{\rm{ 10}}\,\,{\rm{cm}}\];
\[5\,\,{\rm{cm; 4}}\,\,{\rm{cm}};{\rm{ 2}}\,\,{\rm{cm}}\].
Lời giải
Bạn cần đăng ký gói VIP ( giá chỉ từ 199K ) để làm bài, xem đáp án và lời giải chi tiết không giới hạn.
Lời giải
Bạn cần đăng ký gói VIP ( giá chỉ từ 199K ) để làm bài, xem đáp án và lời giải chi tiết không giới hạn.