Đọc văn bản sau và trả lời các câu hỏi từ 68 đến 73
Khi sóng âm tác dụng vào tai người, mỗi đặc trưng vật lí của âm (tần số, cương độ âm, mức cường độ âm, đồ thị dao động) gây ra một loại cảm giác riêng, gọi là đặc trưng sinh lí của âm (độ cao, độ to, âm săc). Những đặc trưng sinh lí của âm liên quan chặt chẽ với những đặc trưng vật lí của âm.
Cường độ âm (I) là năng lượng được sóng âm truyền qua một đơn vị diện tích đặt vuông góc với phương truyền sóng trong một đơn vị thời gian (đơn vị là W/m²). Cường độ âm càng lớn thì cho tai cảm giác nghe thấy âm càng to. Tuy nhiên, độ to của âm không tỉ lệ thuận với cường độ âm. Để so sánh độ to của một âm với độ to chuẩn, người ta dùng đại lượng mức cường độ âm, đo bằng Ben (B) hoặc dexiBen (dB), được định nghĩa bằng công thức L(dB)=10lgI/I0 với I0 là cương độ âm chuẩn.
Do đặc điểm sinh lí, tai con người chỉ có thể cảm nhận được (nghe thấy) những âm có tần số trong khoảng từ 16 Hz đến 20000 Hz . Tuy nhiên, để âm thanh gây được cảm giác âm, mức cường độ âm phải lớn hơn một giá trị cực tiểu nào đó gọi là ngưỡng nghe. Ngưỡng nghe thay đổi theo tần số của âm. Giá trị cực đại của cường độ âm mà tai có thể chịu đựng được gọi là ngưỡng đau. Đây là ngưỡng mà khi vượt quá, nó có thể gây ra cảm giác đau đớn, khó chịu, hoặc thậm chí gây tổn thương cho tai.

Đọc văn bản sau và trả lời các câu hỏi từ 68 đến 73
Khi sóng âm tác dụng vào tai người, mỗi đặc trưng vật lí của âm (tần số, cương độ âm, mức cường độ âm, đồ thị dao động) gây ra một loại cảm giác riêng, gọi là đặc trưng sinh lí của âm (độ cao, độ to, âm săc). Những đặc trưng sinh lí của âm liên quan chặt chẽ với những đặc trưng vật lí của âm.
Do đặc điểm sinh lí, tai con người chỉ có thể cảm nhận được (nghe thấy) những âm có tần số trong khoảng từ 16 Hz đến 20000 Hz . Tuy nhiên, để âm thanh gây được cảm giác âm, mức cường độ âm phải lớn hơn một giá trị cực tiểu nào đó gọi là ngưỡng nghe. Ngưỡng nghe thay đổi theo tần số của âm. Giá trị cực đại của cường độ âm mà tai có thể chịu đựng được gọi là ngưỡng đau. Đây là ngưỡng mà khi vượt quá, nó có thể gây ra cảm giác đau đớn, khó chịu, hoặc thậm chí gây tổn thương cho tai.

Lượng năng lượng được sóng âm truyền qua một đơn vị diện tích đặt vuông góc với phương truyền âm trong một đơn vị thời gian gọi là __________.
Quảng cáo
Trả lời:
Phương pháp giải
Sử dụng thông tin từ văn bản
Giải chi tiết
Lượng năng lượng được sóng âm truyền qua một đơn vị diện tích đặt vuông góc với phương truyền âm trong một đơn vị thời gian gọi là cường độ âm
Đáp án cần điền là: cường độ âm
Câu hỏi cùng đoạn
Câu 2:
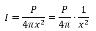
Trên trục Ox, một nguồn âm điểm có công suất không đổi, phát âm đẳng hướng ra môi trường. Hình nào sau đây có thể mô tả đúng sự phụ thuộc của cường độ âm I tại những điểm trên trục Ox theo tọa độ x.

Phương pháp giải
Sử dụng công thức mối liên hệ giữa I và x
Giải chi tiết
Công thức cường độ âm:

Hàm số I(x) ~ là một hàm nghịch biến (khi x tăng thì I giảm).
Đồ thị phải là một đường cong giảm nhanh và không đi qua gốc tọa độ (x=0) vì cường độ âm sẽ tiến tới vô cùng tại nguồn.
Hình 4 mô tả một hàm giảm nhanh và có tiệm cận với cả hai trục, khớp với mối quan hệ I(x) ~ . à Vậy đồ thị đúng là Hình 4.
Đáp án cần chọn là: D
Câu 3:
Một máy bay khi bay ở độ cao 3200 m gây ra ờ mặt đất phía dưới tiếng ồn có mức cường độ âm là 100 dB. Giả thiết máy bay là nguồn điểm, môi trường không hấp thụ âm. Cho biết ngưỡng nghe trung bình của tai người có thính giác bình thường là 130 dB. Ở độ cao bao nhiêu thì tiếng ồn của máy bay bắt đầu gây ra cảm giác nhức nhối cho tai người?

Câu 4:
Những âm thanh vượt quá ngưỡng đau là những âm thanh mà tai của con người không nghe được, đúng hay sai?
Trong các phát biểu sau, những phát biểu nào đúng ?
Những âm thanh vượt quá ngưỡng đau là những âm thanh mà tai của con người không nghe được, đúng hay sai?
Trong các phát biểu sau, những phát biểu nào đúng ?
- Ngưỡng Nghe (Hearing Threshold): Mức cường độ âm nhỏ nhất mà tai người có thể nhận biết được (thường là 0 dB).
- Ngưỡng Đau (Threshold of Pain): Mức cường độ âm mà tai người bắt đầu cảm thấy đau đớn (thường là khoảng 120 dB đến 130 dB).
- Tất cả các âm thanh có mức cường độ nằm giữa Ngưỡng Nghe và Ngưỡng Đau đều là âm thanh mà tai người có thể nghe được.
- Âm thanh vượt quá ngưỡng đau vẫn được nghe thấy nhưng chúng gây ra tổn thương và cảm giác đau đớn cho tai.
Kết luận: Âm thanh vượt quá ngưỡng đau là những âm thanh rất lớn mà tai nghe được, chứ không phải không nghe được. Do đó, phát biểu trên là sai.
Đáp án cần chọn là: S; Đ
Câu 5:
Công suất âm thanh cực đại của một máy nghe nhạc gia đình là 10 W. Cho rằng cứ truyền trên khoảng cách 1 m , năng lượng âm bị giảm 5% so với lần đầu so sự hấp thụ âm của môi trường. Biết I0= 10-12 W/m2. Nếu mở to hết mức thì mức cường độ âm ở khoảng cách 6m gần nhất với giá trị nào sau đây?

Câu 6:
Hình bên là đồ thị biểu diễn sự phụ thuộc của mức cường độ âm L theo cường độ âm I. Cường độ âm chuẩn gẩn nhất với giá trị nào sau đây?

Hình bên là đồ thị biểu diễn sự phụ thuộc của mức cường độ âm L theo cường độ âm I. Cường độ âm chuẩn gẩn nhất với giá trị nào sau đây?


Hot: 1000+ Đề thi cuối kì 2 file word cấu trúc mới 2026 Toán, Văn, Anh... lớp 1-12 (chỉ từ 60k). Tải ngay
CÂU HỎI HOT CÙNG CHỦ ĐỀ
Câu 1
a. Toạ độ điểm \(C(4;10;0)\).
b. Phương trình mặt phẳng \((SBD)\) là \(\frac{x}{4}+\frac{y}{10}+\frac{z}{3,5}=1\).
c. Toạ độ của vectơ là \((4;10;-3,5)\).
d. Góc giữa đường thằng \(SC\) và mặt phằng ( \(SBD\) ) (làm tròn đến hàng đơn vị của độ) là \({20}^{∘}\)
Lời giải
vì nên \(C(4;10;0)\) và \(\overrightarrow{SC}=(4;10;-3,5)\).
Phương trình mặt phẳng \((SBD)\) là: \(\frac{x}{4}+\frac{y}{10}+\frac{z}{3,5}=1\).
\(⇔35x+14y+40z-140=0\)Suy ra \(⃗n=(35;14;40)\) là một vectơ pháp tuyến của mặt phẳng \((SBD)\).
Khi đó, \(sin(SC,(SBD))=\frac{|⃗SC⋅⃗n|}{|⃗SC|⋅|⃗n|}=\frac{|4⋅35+10⋅14+(-3,5)⋅40|}{\sqrt[]{{4}^{2}+{10}^{2}+(-3,5{)}^{2}}⋅\sqrt[]{{35}^{2}+{14}^{2}+{40}^{2}}}=\frac{280\sqrt[]{53}}{9063}\).
Vậy góc giữa đường thẳng \(SC\) và mặt phẳng \((SBD)\) là khoảng \({13}^{∘}\).
Đáp án đúng là Đ; Đ; Đ; S
Câu 2
A. 30
C. 31
D. 29
Lời giải
Điều kiên xác định: \(x>-30\).
Đặt \(f(x)=\left. ({3}^{{x}^{2}}-{9}^{x}) \right.\left[ {log}_{2}(x+30)-5 \right]\)
Xét phương trình \(f(x)=0\)
\Leftrightarrow
\begin{cases}
3^{x^2}=9^x\\
\log_2(x+30)=5
\end{cases}
\Leftrightarrow
\left[
\begin{aligned}
x^2&=2x\\
x+30&=2^5
\end{aligned}
\right.
\Leftrightarrow
\left[
\begin{aligned}
x&=0\\
x&=2 \ (\text{kép})
\end{aligned}
\right.
\]
Ta có bảng xét dấu:
![Có bao nhiêu số nguyên x thỏa mãn (3^x^2-9^x)[log_2}(x+30)-5]≤0 (ảnh 1)](https://video.vietjack.com/upload2/images/1773136930/image12.png)
Suy ra bất phương trình \(f(x)≤0\) có tâp nghiệm là: \(S=(-30;0]∪\{2\}\)
Với \(x∈Z⇒x∈\{-29;-28;…;-2;-1;0;2\}\).
Vậy có 31 số nguyên \(x\) thỏa mãn.
Đáp án cần chọn là C
Câu 3
A. \(\frac{\sqrt[]{7}}{3}\).
B. \(\frac{\sqrt[]{2}}{3}\).
C. \(\frac{1}{3}\).
D. \(\frac{2\sqrt[]{2}}{3}\).
Lời giải
Bạn cần đăng ký gói VIP ( giá chỉ từ 250K ) để làm bài, xem đáp án và lời giải chi tiết không giới hạn.
Lời giải
Bạn cần đăng ký gói VIP ( giá chỉ từ 250K ) để làm bài, xem đáp án và lời giải chi tiết không giới hạn.
Câu 5
A. \(6{a}^{3}\).
B. \(12{a}^{3}\).
C. \(2{a}^{3}\).
D. \({a}^{3}\).
Lời giải
Bạn cần đăng ký gói VIP ( giá chỉ từ 250K ) để làm bài, xem đáp án và lời giải chi tiết không giới hạn.
Câu 6
A. Đường thẳng \(y=x\).
B. Đường thẳng \(y=-x\).
C. Đường thằng \(x=0\)..
D. Đường thẳng \(y=-2x\)..
Lời giải
Bạn cần đăng ký gói VIP ( giá chỉ từ 250K ) để làm bài, xem đáp án và lời giải chi tiết không giới hạn.
Lời giải
Bạn cần đăng ký gói VIP ( giá chỉ từ 250K ) để làm bài, xem đáp án và lời giải chi tiết không giới hạn.
