Chọn một hoặc nhiều đáp án đúng.
Nếu hai hàm có đạo hàm và liên tục trên tập xác định thì
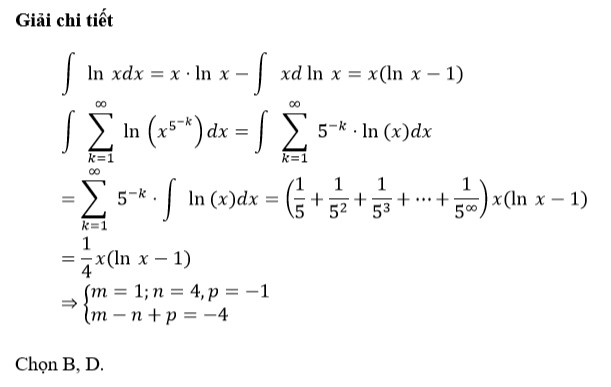
\(\smallint u\left( x \right)v'\left( x \right)dx = u\left( x \right)v\left( x \right) - \smallint v\left( x \right) \cdot u'\left( x \right)dx\)Hay viết gọn lại là \(\smallint udv = uv - \smallint vdu\) (Công thức nguyên hàm từng phần).
Trong toán học, chữ cái Hy Lạp Sigma thể hiện tổng của một phép toán nhiều số hạng. Ví dụ như !. Khi đó, có dạng
\(\left. {\frac{m}{n}x\left[ {{\rm{ln}}\left( x \right) + p} \right] + C\left( {m,n,p \in \mathbb{Z}} \right),\frac{m}{n}} \right]\) là phân số tối giản.
Chọn một hoặc nhiều đáp án đúng.
Nếu hai hàm có đạo hàm và liên tục trên tập xác định thì
\(\smallint u\left( x \right)v'\left( x \right)dx = u\left( x \right)v\left( x \right) - \smallint v\left( x \right) \cdot u'\left( x \right)dx\)Hay viết gọn lại là \(\smallint udv = uv - \smallint vdu\) (Công thức nguyên hàm từng phần).
Trong toán học, chữ cái Hy Lạp Sigma thể hiện tổng của một phép toán nhiều số hạng. Ví dụ như !. Khi đó, có dạng
\(\left. {\frac{m}{n}x\left[ {{\rm{ln}}\left( x \right) + p} \right] + C\left( {m,n,p \in \mathbb{Z}} \right),\frac{m}{n}} \right]\) là phân số tối giản.
Quảng cáo
Trả lời:

Hot: 1000+ Đề thi cuối kì 2 file word cấu trúc mới 2026 Toán, Văn, Anh... lớp 1-12 (chỉ từ 60k). Tải ngay
CÂU HỎI HOT CÙNG CHỦ ĐỀ
Câu 2
Khi đánh bắt cá tại một quần thể ở ba thời điểm, thu được tỉ lệ như sau:
| I | II | III | |
|
Trước sinh sản
|
\(55\%\)
|
\(42\%\)
|
\(20\%\)
|
|
Đang sinh sản
|
\(30\%\)
|
\(43\%\)
|
\(45\%\)
|
|
Sau sinh sản
|
\(15\%\)
|
\(15\%\)
|
\(35\%\)
|
Có bao nhiêu nhận xét đúng trong các nhận xét sau:
1. Tại thời điểm I quần thể đang ở trạng thái phát triển
2. Tại thời điểm II có thể tiếp tục đánh bắt với mức độ vừa phải
3. Tại thời điểm I có thể tiếp tục đánh bắt
4. Tại thời điểm III quần thể đang bị đánh bắt quá mức nên cần được bảo vệ
5. Tại thời điểm III có thể tiếp tục đánh bắt
A. 1.
B. 4.
C. 3.
D. 2.
Lời giải
Phương pháp giải
Dựa vào cấu trúc nhóm tuổi của quần thể.
Giải chi tiết
Các nhận xét đúng là : (1), (2), (5)
Ý (3) sai vì: thời điểm I quần thể có nhiều cá nhỏ, nếu tiếp tục đánh bắt sẽ làm ảnh hưởng tới quần thể.
Ý (4) sai vì: thời điểm III , tỷ lệ cá thể sau sinh sản cao, có nghĩa là chưa khai thác hết tiềm năng.
Đáp án cần chọn là: C
Câu 3
A. \({C}_{20}{H}_{14}{O}_{4}\).
B. \({C}_{20}{H}_{16}{O}_{5}\).
C. \({C}_{18}{H}_{14}{O}_{4}\).
D. \({C}_{18}{H}_{16}{O}_{5}\).
Lời giải
Bạn cần đăng ký gói VIP ( giá chỉ từ 250K ) để làm bài, xem đáp án và lời giải chi tiết không giới hạn.
Câu 4
Lời giải
Bạn cần đăng ký gói VIP ( giá chỉ từ 250K ) để làm bài, xem đáp án và lời giải chi tiết không giới hạn.
Lời giải
Bạn cần đăng ký gói VIP ( giá chỉ từ 250K ) để làm bài, xem đáp án và lời giải chi tiết không giới hạn.
Câu 6
A. 12, 22, 11
B. 5, 10, 5 .
C. 2, 6, 1 .
D. 6, 12, 6 .
Lời giải
Bạn cần đăng ký gói VIP ( giá chỉ từ 250K ) để làm bài, xem đáp án và lời giải chi tiết không giới hạn.
Câu 7
A. \(1,35⋅{10}^{3}N\).
B. \(2,{52.10}^{3}N\).
C. \(2,{83.10}^{3}N\).
Lời giải
Bạn cần đăng ký gói VIP ( giá chỉ từ 250K ) để làm bài, xem đáp án và lời giải chi tiết không giới hạn.


