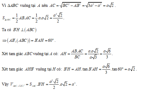
Cho lăng trụ ABC.A'B'C' đáy là tam giác ABC vuông tại A, AB = a, BC = a , hình chiếu vuông góc của B' trên mặt phẳng (ABC) trùng với chân đường cao H kẻ từ đỉnh A của tam giác ABC, góc tạo bởi AB' với (ABC) bằng 60o . Tính thể tích khối lăng trụ .
Quảng cáo
Trả lời:
Hướng dẫn giải

Hot: 1000+ Đề thi cuối kì 2 file word cấu trúc mới 2026 Toán, Văn, Anh... lớp 1-12 (chỉ từ 60k). Tải ngay
CÂU HỎI HOT CÙNG CHỦ ĐỀ
Lời giải
Hướng dẫn giải
Theo sơ đồ trên, ta có
a) Xác suất cả hai động cơ đều chạy tốt là: 0,48
b) Xác suất cả hai động cơ đều không chạy tốt là 0,08
c) Xác suất động cơ I chạy tốt, động cơ II chạy không tốt là: 0,32
Lời giải
Bạn cần đăng ký gói VIP ( giá chỉ từ 250K ) để làm bài, xem đáp án và lời giải chi tiết không giới hạn.
Lời giải
Bạn cần đăng ký gói VIP ( giá chỉ từ 250K ) để làm bài, xem đáp án và lời giải chi tiết không giới hạn.
Lời giải
Bạn cần đăng ký gói VIP ( giá chỉ từ 250K ) để làm bài, xem đáp án và lời giải chi tiết không giới hạn.
Lời giải
Bạn cần đăng ký gói VIP ( giá chỉ từ 250K ) để làm bài, xem đáp án và lời giải chi tiết không giới hạn.
Lời giải
Bạn cần đăng ký gói VIP ( giá chỉ từ 250K ) để làm bài, xem đáp án và lời giải chi tiết không giới hạn.

