Phương pháp điều chế phenol từ cumene đã mang lại những tiến bộ vượt bậc trong công nghiệp hiện đại. Qua quá trình phản ứng hóa học, cách tiếp cận này đem lại hiệu suất cao và tiết kiệm nguyên liệu. Sự thành công của phương pháp này đã mở ra những triển vọng mới cho việc sản xuất phenol, góp phần quan trọng vào phát triển ngành công nghiệp hóa chất.
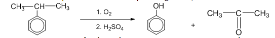
Tiến hành điều chế phenol qua hai giai đoạn theo sơ đồ:

Tính khối lượng phenol (theo kg) thu được khi oxi hoá 1 tấn cumene trong công nghiệp. Biết hiệu suất của phản ứng điều chế phenol và acetone từ cumene trong công nghiệp là 94%
(Làm tròn đến hàng phần đơn vị)
Câu hỏi trong đề: Bộ 71 đề thi cuối kì 2 Hóa học 11 năm 2023-2024 có đáp án !!
Quảng cáo
Trả lời:
Đáp án:
Đáp án: 736
Hot: 1000+ Đề thi cuối kì 2 file word cấu trúc mới 2026 Toán, Văn, Anh... lớp 1-12 (chỉ từ 60k). Tải ngay
CÂU HỎI HOT CÙNG CHỦ ĐỀ
Câu 1
a. Dung dịch NaCl bão hòa giúp ethyl acetate hoà tan trong nước tốt hơn.
b. Phản ứng điều chế ester ethyl acetate là phản ứng thuận nghịch.
c. Khi xuất hiện lớp chất lỏng không tan ở trên mặt nước là dấu hiệu nhận biết sản phẩm phản ứng.
d. Đá bọt phân tán nhiệt giúp hỗn hợp phản ứng sôi đều.
Lời giải
a. Sai
b. Đúng
c. Đúng
d. Đúng
Lời giải
Bạn cần đăng ký gói VIP ( giá chỉ từ 250K ) để làm bài, xem đáp án và lời giải chi tiết không giới hạn.
Câu 4
Phân tử khối của X là 74.
CH3-CH2-CH(OH)-CH3 bị oxi hoá bởi CuO tạo ra aldehyde.
Phổ hồng ngoại IR của X có tín hiệu hấp thụ trong vùng 3 600 - 3 200 cm-1 nên X một là Alcohol.
Công thức phân tử của X là C4H10O.
Lời giải
Bạn cần đăng ký gói VIP ( giá chỉ từ 250K ) để làm bài, xem đáp án và lời giải chi tiết không giới hạn.
Câu 5
DDT là dẫn xuất halogen của hydrocarbon.
DDT có hoạt tính sinh học cao.
DDT có công thức phân tử trùng với công thức đơn giản nhất.
Một phân tử DDT có 3 nguyên tử Chlorine.
Lời giải
Bạn cần đăng ký gói VIP ( giá chỉ từ 250K ) để làm bài, xem đáp án và lời giải chi tiết không giới hạn.
Câu 6
X là alcohol bậc I.
X và Y không tác dụng với Cu(OH)2.
Tên thay thế của Y là isopropyl alcohol.
Tách nước X chỉ thu được một alkene.
Lời giải
Bạn cần đăng ký gói VIP ( giá chỉ từ 250K ) để làm bài, xem đáp án và lời giải chi tiết không giới hạn.





