15 câu trắc nghiệm Toán lớp 1 Chân trời sáng tạo Tách số - Gộp số có đáp án
44 người thi tuần này 4.6 183 lượt thi 15 câu hỏi
Bạn cần đăng ký gói VIP ( giá chỉ từ 250K ) để làm bài, xem đáp án và lời giải chi tiết không giới hạn.
🔥 Học sinh cũng đã học
Danh sách câu hỏi:
Lời giải
Đáp án đúng là: D
Ta có 2 con vịt được tách ra 1 con vịt và 1 con vịt.
Ta nói 2 gồm 1 và 1.
Câu 2/15
Tách 2 quả cam với 1 quả cam ta được 3 quả cam \
Gộp 1 quả cam với 2 quả cam ta được 3 quả cam
Gộp 1 quả cam với 3 quả cam ta được 2 quả cam
Tách 3 quả cam với 1 quả cam ta được 2 quả cam
Lời giải
Đáp án đúng là B
Ta có gộp 1 quả cam với 2 quả cam ta được 3 quả cam.
Ta nói: Gộp 1 với 2 được 3.
Lời giải
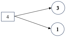
Đáp án đúng là : C

Ta có : 4 tách gồm 3 và 1.
Câu 4/15
Gộp 2 với 2 ta được 4
Gộp 2 với 2 ta được hai số 2
Gộp 2 với 2 ta được 5
Gộp 2 với 2 ta được 3
Lời giải
Đáp án đúng là: A
Ta có: Gộp 2 với 2 ta được 4. 
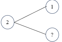
Lời giải
Đáp án đúng là: B
5 tách ra gồm 3 và 2.
Câu 6/15
Đúng
Sai
Không đúng cũng không sai
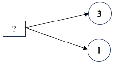
Lời giải
Đáp án đúng là: A
Ta có: Khi gộp 4 với 1 ta được 5. 
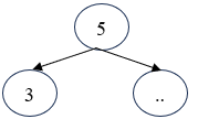
Câu 7/15
2 và 3
3 và 1
4 và 1
2 và 1
Lời giải
Bạn cần đăng ký gói VIP ( giá chỉ từ 250K ) để làm bài, xem đáp án và lời giải chi tiết không giới hạn.
Lời giải
Bạn cần đăng ký gói VIP ( giá chỉ từ 250K ) để làm bài, xem đáp án và lời giải chi tiết không giới hạn.
Lời giải
Bạn cần đăng ký gói VIP ( giá chỉ từ 250K ) để làm bài, xem đáp án và lời giải chi tiết không giới hạn.
Lời giải
Bạn cần đăng ký gói VIP ( giá chỉ từ 250K ) để làm bài, xem đáp án và lời giải chi tiết không giới hạn.
Câu 11/15




Lời giải
Bạn cần đăng ký gói VIP ( giá chỉ từ 250K ) để làm bài, xem đáp án và lời giải chi tiết không giới hạn.
Lời giải
Bạn cần đăng ký gói VIP ( giá chỉ từ 250K ) để làm bài, xem đáp án và lời giải chi tiết không giới hạn.
Lời giải
Bạn cần đăng ký gói VIP ( giá chỉ từ 250K ) để làm bài, xem đáp án và lời giải chi tiết không giới hạn.
Câu 14/15
4 chuồng
2 chuồng
3 chuồng
5 chuồng
Lời giải
Bạn cần đăng ký gói VIP ( giá chỉ từ 250K ) để làm bài, xem đáp án và lời giải chi tiết không giới hạn.
Câu 15/15
6
8
7
5
Lời giải
Bạn cần đăng ký gói VIP ( giá chỉ từ 250K ) để làm bài, xem đáp án và lời giải chi tiết không giới hạn.
Xem tiếp với tài khoản VIP
Còn 9/15 câu hỏi, đáp án và lời giải chi tiết.
Bạn cần đăng ký gói VIP ( giá chỉ từ 250K ) để làm bài, xem đáp án và lời giải chi tiết không giới hạn.











