Phiếu bài tập hàng ngày Toán lớp 1 Chân trời sáng tạo Bài 5. Phép trừ trong phạm vi 10(Tiết 2) có đáp án
30 người thi tuần này 4.6 174 lượt thi 8 câu hỏi 60 phút
Bạn cần đăng ký gói VIP ( giá chỉ từ 250K ) để làm bài, xem đáp án và lời giải chi tiết không giới hạn.
🔥 Học sinh cũng đã học
Đề cương ôn tập Cuối kì 1 Toán lớp 1 Cánh diều (có đáp án) - Đề 5
Đề cương ôn tập Cuối kì 1 Toán lớp 1 Cánh diều (có đáp án) - Đề 4
Đề cương ôn tập Cuối kì 1 Toán lớp 1 Cánh diều (có đáp án) - Đề 3
Đề cương ôn tập Cuối kì 1 Toán lớp 1 Cánh diều (có đáp án) - Đề 2
Đề cương ôn tập Cuối kì 1 Toán lớp 1 Cánh diều (có đáp án) - Đề 1
Đề cương ôn tập Cuối kì 2 Toán lớp 1 Cánh diều (có đáp án) - Phần II. Tự luận
Đề cương ôn tập Cuối kì 2 Toán lớp 1 Cánh diều (có đáp án) - Phần I. Trắc nghiệm
Đề cương ôn tập giữa kì 2 Toán lớp 1 Cánh diều (có đáp án) - Đề 5
Danh sách câu hỏi:
Lời giải
Đáp án đúng là: A
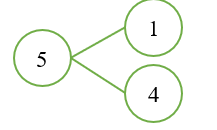
Phép tính thích hợp với sơ đồ bên là: 5 – 1 = 4
Lời giải
Đáp án đúng là: D
Lời giải
Đáp án đúng là: A
Vậy: Phép tính có kết quả bằng 3 là: 4 – 1
Lời giải
Đáp án đúng là: D
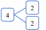
Sơ đồ thích hợp với phép tính 6 – 2 = 4 là: 
Lời giải

Lời giải

Lời giải
Bạn cần đăng ký gói VIP ( giá chỉ từ 250K ) để làm bài, xem đáp án và lời giải chi tiết không giới hạn.
Lời giải
Bạn cần đăng ký gói VIP ( giá chỉ từ 250K ) để làm bài, xem đáp án và lời giải chi tiết không giới hạn.
Xem tiếp với tài khoản VIP
Còn 2/8 câu hỏi, đáp án và lời giải chi tiết.
Bạn cần đăng ký gói VIP ( giá chỉ từ 250K ) để làm bài, xem đáp án và lời giải chi tiết không giới hạn.









